- 腹主动脉瘤腔内修复术中纤维蛋白粘合剂瘤腔填充技术专家共识
- “废弃肝”辅助性肝移植的创新临床应用与前景展望
- Laennec膜概念指导下肝门部肝段Glisson蒂的应用解剖及其腹腔镜手术应用价值
- 增强现实导航联合荧光腹腔镜技术在肝中叶肿瘤切除术中的应用
- 肝癌癌旁组织中FGL1的表达特征及其与预后的关系
- 预防性肠系膜下动脉栓塞对腹主动脉瘤腔内修复术后结局影响的单中心回顾性分析
- 国际指南与中国共识视角下的血管创伤救治:2025版ESVS指南与中国专家共识的整合解读
- 不同静脉入路策略在血液透析患者中心静脉狭窄或闭塞腔内治疗中的比较研究
- 食管下括约肌增强的新型技术:当代外科实践中的适应证与局限性
- 甲状腺再次手术中国专家共识
- 混合现实辅助胸骨后甲状腺肿手术的可行性与安全性分析:附29例报告
- 腔镜甲状腺手术出血的预防与处理
- 小切口经口腔前庭入路腔镜甲状腺手术中单隧道向壁穿刺建腔技术的临床评价
- 机器人复杂直肠癌手术探索与思考
- 当期目录
- 优先出版
- 虚拟专辑
- 过刊浏览
-
肝癌术后辅助治疗中国专家共识协作组,中国医师协会外科医师分会,中国抗癌协会肝癌专业委员会,中华医学会肿瘤学分会肝癌学组
2026,35(1):1-20, DOI: 10.7659/j.issn.1005-6947.260017
Abstract:
肝细胞癌(以下简称肝癌)术后复发转移是影响患者长期生存的重要因素,目前尚无公认的有效预防术后复发转移的辅助治疗方案。以靶向药物、免疫检查点抑制剂为代表的系统抗肿瘤治疗和局部治疗单独或联合应用的辅助治疗策略正在积极探索中。肝癌术后辅助治疗中国专家共识协作组、中国医师协会外科医师分会、中国抗癌协会肝癌专业委员会、中华医学会肿瘤学分会肝癌学组组织相关领域专家,基于新的循证医学证据,经过多次讨论、反复修订,最终更新形成《肝细胞癌术后辅助治疗专家共识(2026版)》,旨在梳理肝癌术后辅助治疗相关证据,结合临床实践,为临床医师开展术后辅助治疗提供更好指导,提高肝癌患者术后生存获益。
-
李拥军,赵纪春,赵渝,张岚,黄建华,郭平凡,汪涛,张龙,王海洋,陈泉,
2026,35(1):21-31, DOI: 10.7659/j.issn.1005-6947.260002
Abstract:
下肢动脉粥样硬化闭塞症[又称外周动脉疾病(PAD)]是一种由动脉粥样硬化累及下肢动脉而导致管腔狭窄或闭塞,进而引发下肢缺血、坏死为特征的慢性动脉闭塞性疾病。PAD不仅显著降低患者生活质量,且存在不可忽视的截肢及死亡风险,给患者和社会带来沉重的经济与健康负担,尤其在老年患者中。高龄已被多项研究证实是PAD患者发生截肢和死亡的关键危险因素。老年人PAD患病率随患者年龄增长显著上升,且老年人常合并冠心病、肾功能不全、肿瘤等多种疾病,其病理生理特点、治疗选择及预后评估均较年轻患者更为复杂。诊断上,因老年PAD患者症状易被合并症掩盖,需结合详细病史、体征及辅助检查。治疗上,老年PAD患者治疗依从性差、随访困难等问题也增加了临床管理的难度。目前,国内外尚缺乏专门针对老年人PAD的诊疗指南或共识。基于此,制定了《老年人下肢动脉粥样硬化闭塞症管理中国专家共识》。本共识结合国内外最新循证医学证据及临床经验,重点阐述了老年PAD患者的疾病特点、合并症管理、个体化治疗、长期随访等重点问题,旨在制定科学、实用的诊疗规范,为临床医师提供指导。
-
2026,35(1):32-43, DOI: 10.7659/j.issn.1005-6947.250679
Abstract:
腹主动脉瘤是老年人群常见的致命性血管疾病,腹主动脉瘤腔内修复术(EVAR)虽已成为首选治疗方式,但术后内漏发生率较高(20%~40%),其中超过30%需要二次干预,严重影响远期疗效。为规范纤维蛋白粘合剂瘤腔填充技术在EVAR术中的应用,中国康复医学会血管外科专业委员会组织多学科专家,依据RIGHT报告规范和GRADE证据分级体系,通过两轮德尔菲法筛选临床问题,结合循证医学证据,形成《腹主动脉瘤腔内修复术中纤维蛋白粘合剂瘤腔填充技术专家共识》。本共识围绕技术适应证与禁忌证、操作流程、剂量估算、术中评估标准、并发症防治及术后随访等关键环节进行系统阐述,明确瘤腔完全填充的判断标准及不同解剖条件下的应用策略。该共识旨在规范临床实践,降低内漏发生率,提高EVAR远期疗效,为血管外科医师提供循证与可操作并重的实践指导。
-
2026,35(1):44-52, DOI: 10.7659/j.issn.1005-6947.250589
Abstract:
肝细胞癌(以下简称肝癌)是我国发病率和病死率均较高的恶性肿瘤之一,约64%的患者在初诊时已处于中晚期(CNLC Ⅱb期、Ⅲa期和Ⅲb期),多数已失去根治性治疗机会。转化治疗旨在通过有效干预,使原本不可切除的肝癌患者获得手术切除或肝移植的机会,从而改善长期预后。钇-90微球选择性内放射治疗(90Y-SIRT)凭借其显著的局部控瘤能力、诱导剩余肝脏增生、促进门静脉癌栓消退以及较好的安全性和生活质量保障,在肝癌转化治疗中展现出独特优势。本文围绕90Y-SIRT在肝切除和肝移植前转化治疗中的应用,系统梳理其作用机制、临床研究证据及联合治疗策略,并讨论当前面临的挑战与未来发展方向,以期为肝癌转化治疗的临床决策与研究提供参考。
-
2026,35(1):53-59, DOI: 10.7659/j.issn.1005-6947.250551
Abstract:
原发性肝癌(本文特指肝细胞癌,以下简称肝癌)是我国发病率和病死率均较高的恶性肿瘤之一。由于多数患者初诊时已处于中晚期,或合并肝硬化导致肝功能储备不足,根治性手术机会有限。近年来,借鉴结直肠癌的治疗经验,转化治疗作为一种以根治性切除为目标的综合治疗策略,在肝癌领域受到广泛关注。该策略通过系统治疗、局部治疗或二者联合,使初始不可切除肝癌转变为具备根治性切除条件,从而改善患者的长期生存结局。随着靶向治疗、免疫治疗及局部治疗手段的快速发展,转化治疗已成为我国肝癌治疗领域的研究热点,并在临床实践中取得积极进展。然而,转化治疗在适用人群筛选、手术价值评估、手术时机把握及术后管理等方面仍存在诸多争议。本文结合近年来肿瘤学转化治疗的研究进展,围绕相关关键问题进行系统梳理与深入评述,旨在推动转化治疗理念的统一与临床实践的规范化,进一步提升中晚期肝癌的整体治疗水平。
-
2026,35(1):60-68, DOI: 10.7659/j.issn.1005-6947.250693
Abstract:
医学数字活检(MC-Biopsy)是在人工智能技术与医疗大数据深度融合背景下提出的一种面向真实临床场景的数据整合与应用技术框架,旨在解决多源异构临床数据碎片化、难以支持动态分析与循证决策的现实问题。该框架以标准化数据治理为核心,通过系统整合检验、影像、病理、病历文本及随访等多模态信息,构建覆盖疾病全周期的纵向专病数据库,并将多种人工智能方法嵌入既有临床数据结构与业务流程之中,实现高价值临床数据向可复用证据的转化。本文以笔者中心初步构建并运行的MC-Biopsy技术体系为例,系统介绍其总体构想、核心技术架构及在真实临床环境中的应用实践,重点阐述其在肝癌高危人群风险分层、肿瘤诊断分期、疗效评估与预后分析等关键场景中的应用路径及面临的挑战。实践表明,MC-Biopsy通过前置嵌入aMAP(age-Male-ALBi-Platelets score)等风险模型、整合时序实验室指标与影像数据,可支持个体化、分层化的风险管理;同时,依托自然语言处理技术对病历文本进行结构化解析,有助于提升临床信息质量并促进规范化人才培养;通过影像、病理与临床数据的多模态融合,逐步形成可溯源的数字表型库,推动肝病研究由单一模态、静态指标分析向基于纵向病程与真实世界结局的多维研究范式转变。进一步结合学科建设视角,本文讨论了MC-Biopsy在问题导向转化研究及复合型医学人才培养中的潜在价值。总体而言,MC-Biopsy为支撑临床精准诊疗、真实世界研究及学习型医疗体系建设提供了一种具有可复制性和推广潜力的技术参照。
-
左邦佑,杨冲,游欣雨,何谦,程东辉,邱国腾,李德新,伍刚,张宇
2026,35(1):69-76, DOI: 10.7659/j.issn.1005-6947.260012
Abstract:
“废弃肝”是指从切除病肝上分离出的功能肝段,其作为小体积移植物应用于辅助性肝移植为扩大供肝来源提供新的思路。近年来,随着“废弃肝”概念的进一步拓展延伸,“废弃肝”移植与分期肝切除等术式的合理结合应用,以及异种移植领域的快速发展,“废弃肝”辅助性肝移植为移植等待患者提供了更多的治疗选择方案。而如何实现“废弃肝”的创新临床应用,其进一步推广的前景与方向,是肝移植领域需要关注的重要课题。本文结合国内外研究进展及作者团队的临床实践,系统总结“废弃肝”辅助性肝移植的技术演变与应用现状,重点讨论其创新术式、“废弃肝”与异种移植相结合的潜在临床价值,并对该技术的安全实施及个体化手术决策提出展望。
-
2026,35(1):77-87, DOI: 10.7659/j.issn.1005-6947.250378
Abstract:
背景与目的 腹腔镜解剖性肝段切除术的核心在于精准识别和处理肝门部各肝段Glisson蒂,而其解剖变异复杂,尤其在右半肝更为突出。Laennec膜为肝门部结构的系统性分离提供了稳定的解剖平面。本研究在Laennec膜解剖理念指导下,对肝门部各肝段Glisson蒂进行系统应用解剖学研究,旨在明确其形态学特征及空间定位规律,为腹腔镜解剖性肝段切除术提供可操作的解剖学依据。方法 选取6例无明显病变的成人完整肝脏标本,在Laennec膜指导下进行精细解剖,系统分离第一肝门部各肝段Glisson蒂并清除其间肝实质。观察并记录各肝段Glisson蒂的起源、分支形式及走行特点。针对右半肝解剖变异较大的特点,建立以4个解剖标志点、2条解剖线及4个特征性解剖角为核心的定位体系,并结合肝脏CT影像及三维重建模型进行参数测量与验证。结果 肝内Glisson系统整体呈现一定共性但个体差异显著。左半肝肝段Glisson蒂变异相对较少,Ⅱ、Ⅲ段多独立分出,Ⅳ段以双支型为主但可呈多分支变异。右半肝各段Glisson蒂变异明显:Ⅴ段常由多支构成,常接受Ⅵ段分支;Ⅵ段分支较多并可参与Ⅴ段及Ⅶ段供血;Ⅶ段多起源于右后肝蒂根部,部分病例由Ⅵ段末梢延续形成;Ⅷ段肝蒂位置较深但形态相对稳定,多为1~2支。所建立的解剖标志体系及相关参数可较为准确地指示右半肝各肝段Glisson蒂的空间位置。结论 在Laennec膜概念指导下,通过系统解剖肝门部各肝段Glisson蒂并引入量化的解剖标志体系,可有效揭示其形态学特征及空间关系,为腹腔镜解剖性肝段切除术中精准定位与安全处理肝段Glisson蒂提供可靠的解剖学基础
-
沈正超,陈志远,奚士航,潘璇,钱道海,MUHAMMAD Danish Irshad,王小明
2026,35(1):88-96, DOI: 10.7659/j.issn.1005-6947.250468
Abstract:
背景与目的 肝中叶肿瘤解剖位置复杂,邻近第一、第二肝门及重要肝静脉系统,腹腔镜下精准定位肿瘤边界及关键脉管结构难度较大。单纯依赖术中超声或吲哚菁绿荧光成像(ICG-FI)存在深部结构显示不足等局限。本文旨在探讨增强现实(AR)导航联合ICG-FI技术在腹腔镜肝中叶肿瘤切除术中的临床应用价值。方法 回顾性分析2022年5月—2025年3月皖南医学院第一附属医院肝胆外科应用AR导航联合ICG-FI技术行腹腔镜肝中叶肿瘤切除术的38例患者临床资料。观察术中导航效果、手术相关指标及围手术期结局。结果 38例患者均顺利完成手术,无中转开腹。肿瘤荧光显影率为100%。平均手术时间为(324.9±132.4)min,中位术中出血量为400(50~1 200)mL。平均配准误差为(6.3±0.6)mm。中位预测血管数为6(4~8)条,中位验证血管数为7(5~10)条。所有患者均实现R0切除,平均切缘宽度为(1.5±0.5)cm。术后并发症发生率为13.2%,无腹腔出血、气体栓塞或肝衰竭等严重并发症。中位术后住院时间为9(4~20)d。中位随访时间20个月,未见肿瘤复发。结论 AR导航联合ICG-FI技术可在腹腔镜肝中叶肿瘤切除术中实现对关键脉管结构的术中预测与验证,精准控制肝切除平面,提高R0切除率及手术安全性,具有良好的临床应用前景。
-
2026,35(1):97-104, DOI: 10.7659/j.issn.1005-6947.250546
Abstract:
背景与目的 直径≤5 cm的单发肝细胞癌(HCC)合并肝硬化患者以手术切除作为首选根治性治疗方式,但在肝功能储备受限的背景下,手术方式选择及切缘宽度的最佳策略仍存在争议。本研究旨在分析不同手术方式及切缘宽度对该类患者术后预后的影响,筛选影响预后的独立危险因素,并构建预后预测模型,为临床手术决策提供依据。方法 回顾性分析2020年1月—2022年6月接受手术治疗的直径≤5 cm单发HCC合并肝硬化患者280例,剔除失访病例后共272例纳入分析。根据术后3年预后结局分为预后良好组和预后不良组。比较两组在临床特征、肿瘤特性及手术相关因素方面的差异,采用多因素Logistic回归分析筛选影响预后的独立危险因素,并据此构建预后预测模型,利用受试者工作特征(ROC)曲线评价模型的预测效能。结果 多因素Logistic回归分析显示,非解剖性肝切除(OR=4.221,95% CI=2.031~8.732)、切缘宽度0.5~<1 cm(OR=2.863,95% CI=1.542~5.318)及切缘宽度<0.5 cm(OR=5.155,95% CI=2.481~10.692)、肝功能Child-Pugh B级(OR=3.127,95% CI=1.451~6.723)和肝功能Child-Pugh C级(OR=6.890,95% CI=2.132~22.351)、肿瘤直径增大(OR=1.891,95% CI=1.211~2.952)及存在大血管侵犯(OR=3.781,95% CI=1.653~8.672)均为术后预后不良的独立危险因素(均P<0.05)。基于上述因素构建的Logistic预测模型ROC曲线下面积为0.935(95% CI=0.892~0.978),敏感度为90.21%,特异度为86.45%,最佳截断值为0.46。结论 对于直径≤5 cm单发HCC合并肝硬化患者,在肝功能储备允许的前提下,优先选择解剖性肝切除并保证切缘宽度≥1 cm,有助于改善术后预后。基于手术因素与临床特征构建的预测模型对患者预后评估具有较高参考价值,可为个体化手术决策提供支持。
-
2026,35(1):105-113, DOI: 10.7659/j.issn.1005-6947.250592
Abstract:
背景与目的 在肝硬化背景下行肝细胞癌(HCC)根治性切除术时,肝断面止血方式可能影响围手术期安全性及远期预后。本研究比较氩气刀与普通电刀处理肝断面对术后并发症及生存结局的影响。方法 回顾性分析2013年1月—2020年1月于中国人民解放军联勤保障部队第九〇〇医院行根治性肝切除的肝硬化背景HCC患者204例。根据术中肝断面处理方式分为氩气刀组(n=103)和普通电刀组(n=101)。比较两组围手术期指标、术后并发症发生情况以及总生存期(OS)和无复发生存期(RFS)。结果 两组患者基线资料差异无统计学意义(均P>0.05)。与普通电刀组相比,氩气刀组术后肝切除术后肝功能衰竭(PHLF)发生率显著降低(0.0% vs. 5.9%,P=0.036),术中输血率亦明显下降(12.6% vs. 23.8%,P=0.039)。两组术后第1天肝功能指标、总体并发症发生率及严重并发症发生率差异均无统计学意义(均P>0.05)。生存分析显示,氩气刀组1、3、5年OS和RFS率均显著高于普通电刀组(OS:P=0.034;RFS:P=0.003)。复发模式分析显示,氩气刀组未见切缘复发,而普通电刀组发生8例(P=0.011)。结论 在肝硬化背景下行HCC根治性肝切除术时,采用氩气刀处理肝断面可降低PHLF和术中输血发生率,并与OS和RFS改善相关,在保证围手术期安全性的同时具有潜在肿瘤学获益,值得进一步推广和通过前瞻性研究加以验证。
-
2026,35(1):114-123, DOI: 10.7659/j.issn.1005-6947.260010
Abstract:
背景与目的 肝癌具有高度异质性,现有预后模型预测能力有限。纤维蛋白原相关蛋白1(FGL1)是肝脏特异性分泌蛋白,也是淋巴细胞激活基因3(LAG-3)的重要配体,其在肿瘤免疫调控中的作用日益受到关注。本研究旨在评估癌旁组织中FGL1的表达特征及其对肝癌术后预后的预测价值。方法 回顾性纳入2010年1月─2013年12月在复旦大学附属华山医院接受根治性切除的183例肝癌患者。采用免疫组织化学法检测癌旁组织及癌组织中FGL1表达水平,并以H-score进行定量。同时结合TCGA数据库验证表达趋势。通过最大选择秩统计量法确定FGL1表达截断值,比较癌旁FGL1高、低表达患者的生存差异,采用Cox比例风险模型评估独立预后因素。结果 TCGA数据及临床样本均显示,癌旁组织中FGL1表达明显高于癌组织(均P<0.05)。根据最佳截断值将患者分为高表达组与低表达组。高表达组5年无病生存(DFS)率和总体生存(OS)率均显著低于低表达组(均P<0.05)。多因素Cox回归分析显示,癌旁FGL1高表达是DFS(HR=1.689,95% CI=1.010~2.823,P=0.046)和OS(HR=1.733,95% CI=1.112~2.702,P=0.015)的独立危险因素。结论 癌旁组织FGL1表达显著高于肿瘤组织,其高表达与肝癌术后复发及生存不良密切相关。癌旁FGL1可能作为独立预后生物标志物,并为靶向FGL1/LAG-3轴的免疫治疗策略提供潜在依据。
-
闫加艳,王佳艺,冯浩,杨凯铌,祝泽鑫,张俊哲,卜俊峰,胡嘉铭,高丝,唐水斌,黄傲,陈涛,花荣,孙勇伟,刘颖斌,樊嘉,周俭,陈炜
2026,35(1):124-140, DOI: 10.7659/j.issn.1005-6947.250635
Abstract:
背景与目的 肝脏脉管系统解剖变异复杂,且不同脉管之间存在高度个体化的空间关系,传统二维影像在整体构型识别和空间定量分析方面存在局限。本研究基于三维可视化技术,系统评估肝门区及肝内主要脉管的空间构型特征及其与肝叶体积分布的关系,探讨其在精准肝脏外科术前评估中的应用价值。方法 回顾性纳入上海交通大学医学院附属仁济医院610例活体肝移植供体及158例胆管扩张患者,基于增强CT数据构建肝动脉、门静脉、肝静脉及胆管的三维可视化模型。对门静脉分型、肝静脉解剖特征、胆管走行方式以及肝内外脉管的空间位置关系进行系统分析,并进一步比较不同构型下肝叶及区域体积分布的差异。结果 三维可视化技术能够清晰呈现肝门区及肝内脉管的立体走行及相互关系。门静脉不同拓扑分型患者的肝段及区域体积分布存在显著差异,其中右前支起源于左支的门静脉构型患者右后区体积占比明显增加。存在肝右后下静脉且直径≥5 mm者,其右后区体积占比亦显著高于其他患者。肝外空间关系分析显示,肝右动脉与门静脉、胆管之间存在相对稳定的空间分布模式;肝内分析进一步发现,右后肝管与门静脉右支的空间位置与肝右动脉走行方式具有显著相关性。结论 三维可视化技术可在术前准确识别肝脏脉管的变异类型及其复杂空间构型,揭示脉管解剖特征与肝叶体积分布之间的内在联系,为精准肝切除、活体肝移植及复杂肝胆外科手术的安全实施提供可靠的解剖学依据。
-
2026,35(1):141-148, DOI: 10.7659/j.issn.1005-6947.250622
Abstract:
背景与目的 以骨转移为首发表现的原发性肝细胞癌(HCC)较为罕见,尤其四肢骨转移更少见,且常缺乏典型肝病史、甲胎蛋白(AFP)升高及特征性影像学表现,极易误诊或延误诊断。本文报告1例以肱骨转移为首发表现的隐匿性HCC病例,并结合文献分析其临床特征、影像学特点及诊疗策略,以提高临床对该类不典型HCC的认识。方法 回顾性分析2025年8月收治的1例以左肱骨疼痛为首发表现的42岁男性HCC患者临床资料,包括实验室检查、多模态影像学检查、病理及免疫组化结果、治疗方案及随访情况,并结合相关文献进行分析与讨论。结果 患者因左肩疼痛就诊。影像学检查提示左肱骨溶骨性骨质破坏,PET/CT检查同时发现肝脏多发占位性病变,但未见明显异常代谢增高。超声造影表现不典型,初步考虑血管周上皮样细胞肿瘤可能。经左肱骨及肝脏病灶穿刺活检,病理及免疫组化结果证实为中分化HCC伴左肱骨转移(CNLC IIIb期)。患者接受信迪利单抗联合贝伐珠单抗系统治疗,并序贯联合经导管动脉化疗栓塞治疗。随访6个月显示肝内病灶较前缩小,骨转移灶稳定,疼痛症状明显缓解。结论 以肱骨转移为首发表现的HCC极为罕见,且影像学及肿瘤标志物可缺乏典型特征。对于原因不明的骨转移或骨破坏患者,即使无肝病史及AFP升高,也应警惕HCC可能,建议结合多模态影像及病理活检明确诊断,以避免误诊并指导规范治疗。
-
劳坚强,李文阳,黄朝满,吴家欣,杨小壮,欧琦,莫富杰,潘彦羲,彭宁福,钟鉴宏,廖迎阳
2026,35(1):149-161, DOI: 10.7659/j.issn.1005-6947.250649
Abstract:
肝细胞癌(HCC)是全球高发的恶性肿瘤之一,病死率居高不下。近年来,随着靶向及免疫治疗药物不断获批以及多学科诊疗模式的不断完善,全球主要组织和机构相继更新了HCC诊疗指南。受流行病学特征、医疗资源及诊疗理念差异影响,不同国家和地区在HCC筛查、诊断、分期及治疗策略方面存在明显不同。本文系统比较并解读2023—2025年美国肝病研究学会、英国胃肠病学会、欧洲肝病研究学会、欧洲肿瘤内科学会及中国原发性肝癌诊疗指南的核心推荐内容,重点分析其在筛查、诊断、分期和治疗决策方面的异同,旨在为我国HCC规范化、个体化临床诊疗提供参考和借鉴。
-
2026,35(1):162-168, DOI: 10.7659/j.issn.1005-6947.250414
Abstract:
肝细胞癌(HCC)是全球癌症相关死亡的重要原因之一。近年来研究表明,肿瘤包膜作为HCC的经典病理特征,在疾病侵袭性评估、治疗策略制定及预后分层中具有重要临床价值。术前主要依赖影像学评估包膜状态,组织病理学仍为诊断金标准。根据完整性可分为完整、不完整及缺失三类。完整包膜可作为物理屏障限制肿瘤浸润,显著降低微血管侵犯风险,是术前预测侵袭性的重要影像学标志。在外科治疗中,包膜完整者在保证切缘阴性的前提下可考虑窄切缘策略以保留功能性肝实质,而包膜不完整或缺失者则需扩大切缘。在非手术治疗方面,包膜完整与经肝动脉化疗栓塞疗效、放疗局部控制及系统治疗预后密切相关,可能涉及肿瘤微环境、血流动力学及分子信号通路等机制。作为连接肿瘤生物学特征与治疗决策的重要桥梁,肿瘤包膜在HCC精准分层治疗中仍具有广阔的研究前景。
-
2026,35(1):169-179, DOI: 10.7659/j.issn.1005-6947.250317
Abstract:
铁死亡是一种铁依赖性脂质过氧化驱动的程序性细胞死亡方式,在肝癌发生发展及治疗抵抗中发挥重要作用。近年来,围绕铁死亡调控网络的基础与转化研究不断深入。本文系统梳理铁死亡在肝癌中的分子机制、亚型异质性特征及其与肿瘤微环境的相互作用,重点总结系统Xc--GSH-GPX4轴、铁代谢失衡及脂质重塑通路在肝癌铁死亡调控中的核心地位。在治疗层面,铁死亡诱导剂单药及其与化疗、靶向治疗、免疫治疗和放疗的联合策略显示出协同抗肿瘤潜力,部分方案已进入早期临床探索阶段。此外,长链脂酰辅酶A合成酶4、法尼基二磷酸法尼基转移酶1等铁死亡相关标志物在预后分层及疗效预测中的应用价值逐渐显现。未来仍需进一步阐明铁死亡与肿瘤微环境的动态互作机制,完善生物标志物体系,并优化临床试验设计,以推动铁死亡靶向策略在肝癌精准治疗中的转化应用。
-
2026,35(1):180-186, DOI: 10.7659/j.issn.1005-6947.250293
Abstract:
背景与目的 DICER1综合征是一种由DICER1基因胚系突变引起的罕见常染色体显性遗传性肿瘤易感综合征,可累及多器官并表现为多种良恶性肿瘤或增生性病变。肾外肾母细胞瘤、多结节性甲状腺肿及Sertoli-Leydig(S-L)细胞瘤均为其相关表型,但三者同时出现的病例尚未见报道。本文报告1例同时合并上述三种表型的DICER1综合征患者,并结合文献进行分析,以提高对该综合征复杂临床谱系的认识。方法 回顾性分析1例女性患者的临床资料,包括临床表现、影像学检查、手术经过、病理学及免疫组化结果、基因检测及家庭谱系图分析结果;同时检索并总结近30年相关文献,对具有肾母细胞瘤、结节性甲状腺肿及S-L细胞瘤等表型的DICER1综合征病例进行归纳分析。结果 患者9岁时因腹痛行右侧卵巢肿瘤切除术,病理诊断为原发性卵巢畸胎样肾外肾母细胞瘤,术后行辅助化疗。3年后因甲状腺结节行右侧甲状腺切除术,病理为多结节性甲状腺肿。半年后因左侧盆腔新发肿块行卵巢囊肿剥除术,病理提示低分化S-L细胞瘤。基因检测发现DICER1基因外显子8 c.904-1G>C杂合突变,其父亲为同位点杂合突变携带者。结合临床表现及分子遗传学结果,确诊为DICER1综合征。随访3年未见复发或新发病灶。文献复习显示,同时合并上述三种表型的病例尚未见报道。结论 DICER1综合征临床表型多样且诊断具有挑战性。当患儿出现多器官肿瘤或罕见肿瘤组合时,应警惕遗传性肿瘤综合征的可能,尽早开展基因检测及家系筛查。早期识别DICER1综合征对于制定个体化治疗策略及开展长期监测随访具有重要意义。
-
林伶,阿迪力·艾尼瓦尔,张薇薇,沙拉木·克热木,杨虎,陈国栋
2026,35(1):187-191, DOI: 10.7659/j.issn.1005-6947.250638
Abstract:
背景与目的 原发性结肠黏膜黑色素瘤极为罕见,恶性程度高,易发生淋巴及远处转移,预后不佳,临床诊断困难。本文报告1例结肠回盲部原发性黏膜黑色素瘤病例,并结合文献复习,总结其临床特征、诊断要点、治疗策略及预后情况,以提高对该罕见疾病的认识。方法 回顾性分析1例经手术及病理证实的结肠回盲部原发性黏膜黑色素瘤患者的临床资料,包括临床表现、影像学及内镜特征、病理与免疫组化结果、分子检测结果、治疗经过及随访情况,并结合相关文献进行综合分析。结果 患者为52岁女性,2023年11月7日因“间断性右下腹痛3个月”入院。腹部增强CT提示回盲部占位并周围淋巴结肿大;肠镜见巨大结节状肿物充满肠腔,活检提示恶性黑色素瘤。行右半结肠切除术(D2)。术后病理示肿瘤侵犯黏膜层及深肌层,伴脉管内瘤栓,淋巴结转移5/20。免疫组化示S-100、SOX10、Melan-A及HMB45阳性,Ki-67约50%。基因检测提示BRAFV600E突变。术后患者拒绝辅助治疗。术后16个月发现肠系膜区淋巴结转移,23个月出现颈部淋巴结转移,目前随访24个月,仍存活并持续随访。文献复习显示,该病多见于中老年女性,临床表现缺乏特异性,确诊依赖病理及免疫组化,手术切除为无远处转移患者的主要治疗方式。结论 结肠回盲部原发性黏膜黑色素瘤罕见且侵袭性强,早期诊断困难,易发生淋巴转移。确诊需排除转移性黑色素瘤并结合免疫组化及分子检测结果。对于无远处转移患者,根治性手术切除是首选治疗方式,分子靶向治疗及免疫治疗可能成为改善预后的重要方向。
-
2026,35(1):192-197, DOI: 10.7659/j.issn.1005-6947.250531
Abstract:
背景与目的 在政策推动与医疗效率提升需求的背景下,日间手术模式在我国迅速发展。患者就医体验作为衡量医疗质量与服务成效的重要指标,其影响因素尚缺乏系统分析。本研究旨在探讨日间手术患者就医体验的现状及其主要影响因素,为优化服务流程与提升管理质量提供依据。方法 采用回顾性横断面研究设计,提取中南大学湘雅医院日间手术中心2024年3月—2025年3月电子化满意度调查数据。经纳排标准筛选后,共纳入4 531例有效样本。采用描述性统计分析患者总体满意度水平,运用独立样本t检验及单因素方差分析比较不同人口学特征患者的评分差异,采用皮尔森相关分析及多元线性回归分析探讨各服务维度对总体就医体验的独立影响。结果 4 531例患者中,总体就医体验评分为10者占86.63%,评分≥9者占95.41%,整体满意度较高。不同性别、年龄、文化程度及就诊专科患者的就医体验评分差异均无统计学意义(均P>0.05)。相关分析显示,医护人员技术水平、信息告知、健康教育、疑问解答、病室环境及就医流程等因素均与总体就医体验呈明显正相关(均P<0.01)。多元线性回归分析结果表明,就医流程(β=0.362)、日间病房医生技术水平(β=0.164)、病室环境(β=0.118)、门诊预约岗护士服务态度及护理技术等因素为独立影响因素(均P<0.05);而日间病房护士服务态度、手术医生服务态度及日间病房医生病情告知对总体体验无明显影响(均P>0.05)。结论 日间手术患者总体就医体验良好。优化就医流程、强化医护人员专业技术能力与有效沟通、改善病室环境,是提升患者体验与推动日间手术高质量发展的关键路径。
2026年第35卷第1期
指南与共识
述评
专家论坛
专题研究
临床研究
文献综述
简要论著
-
雷建军, 李起, 刘恒超, 关依晨, 张东, 陈晨, 耿智敏
Abstract:
2025年6月发布的《肝门部胆管癌:米兰专家共识》由全球71位专家组成8个工作组,基于570项研究,采用苏黎世—丹麦共识模型,结合GRADE证据分级体系及《牛津循证医学中心证据分级(2011版)》制定,形成71条推荐意见,旨在为肝门部胆管癌(pCCA)的规范化诊治提供循证依据,并明确未来研究方向。该共识系统涵盖pCCA的定义与诊断、术前评估与优化、手术策略、肝移植适应证及结局报告标准等关键问题,尤其聚焦外科治疗中的争议焦点及决策路径。本文结合国内外相关指南及作者临床实践经验,对共识的核心推荐进行系统梳理与对比解读,以期为临床医师理解与应用该共识提供参考。
-
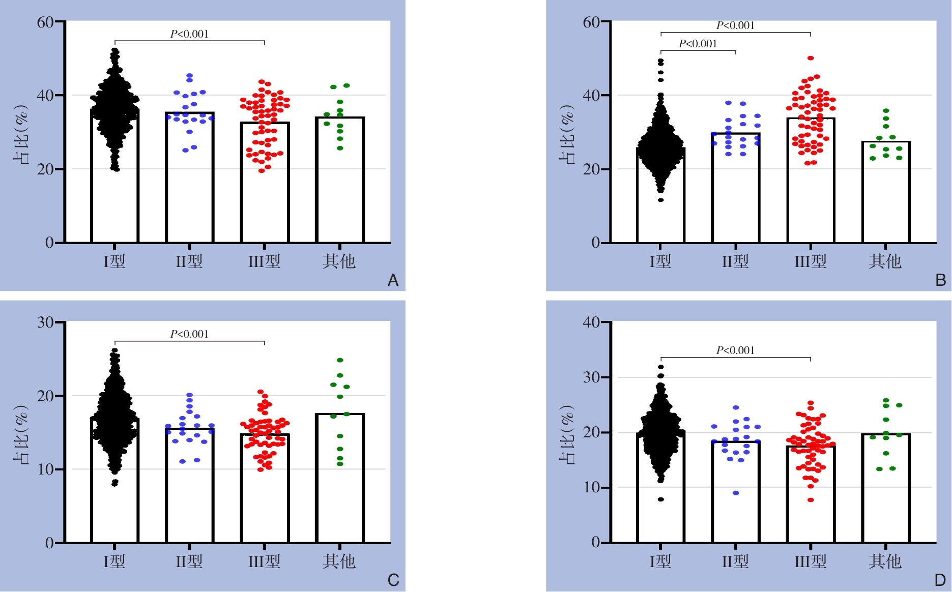
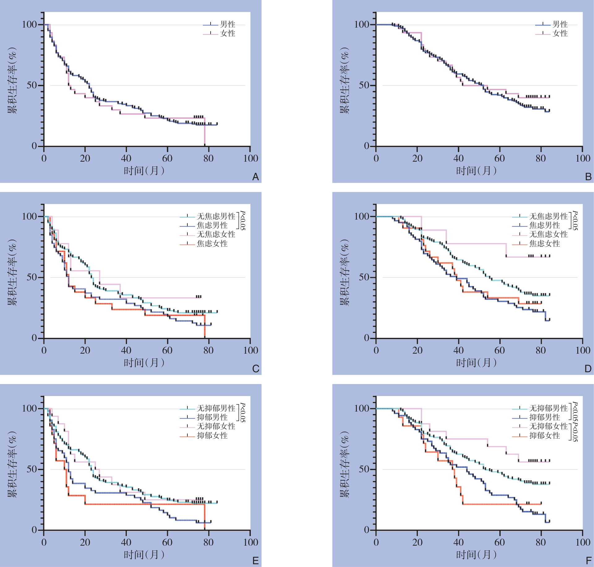
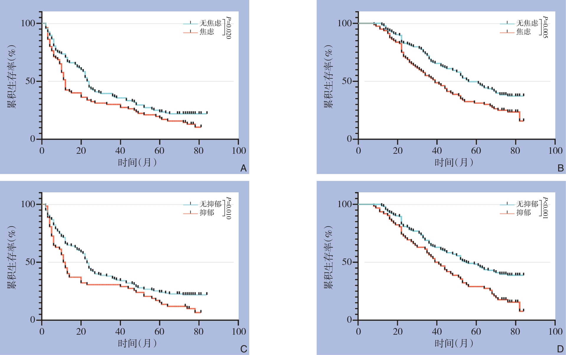
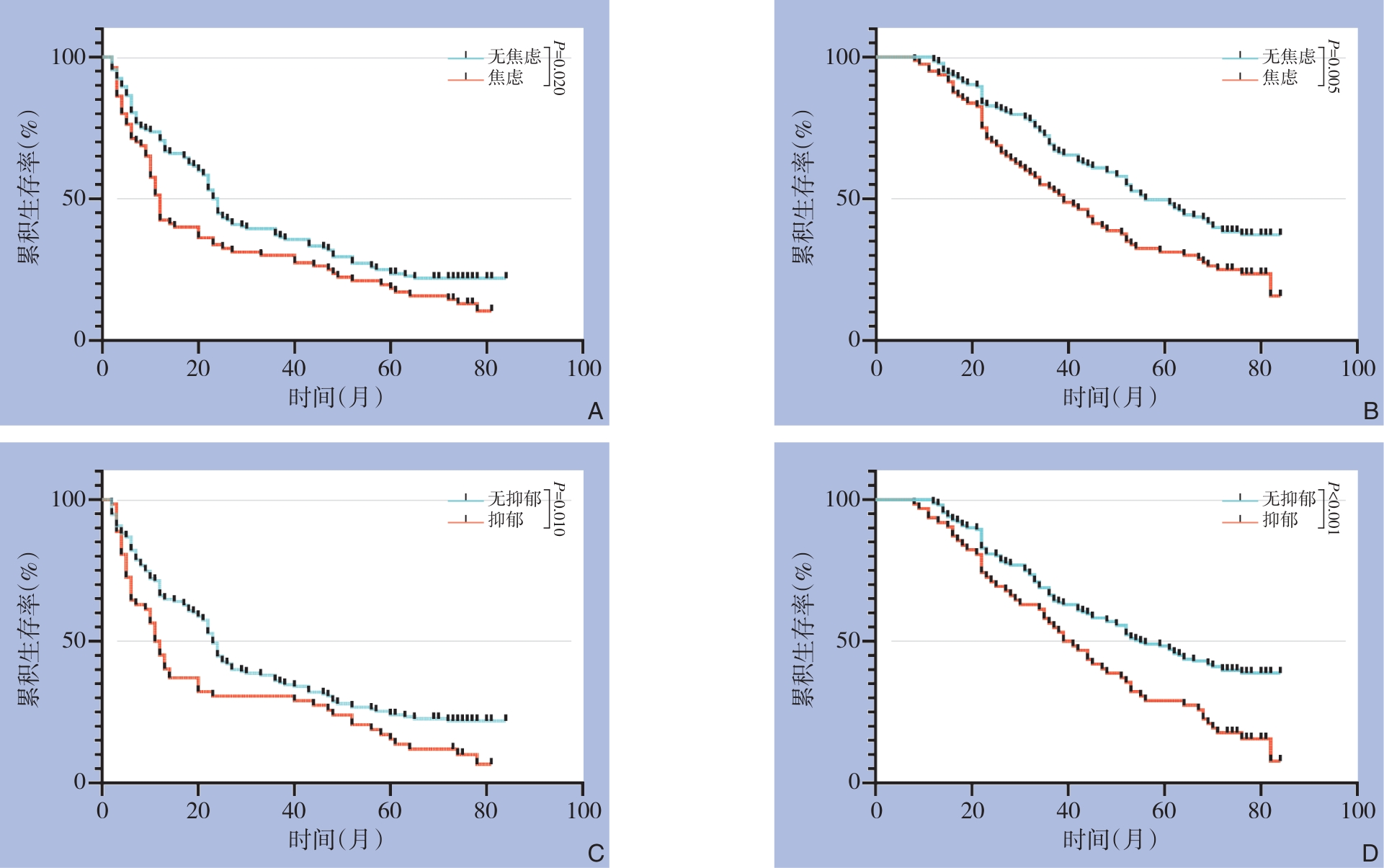
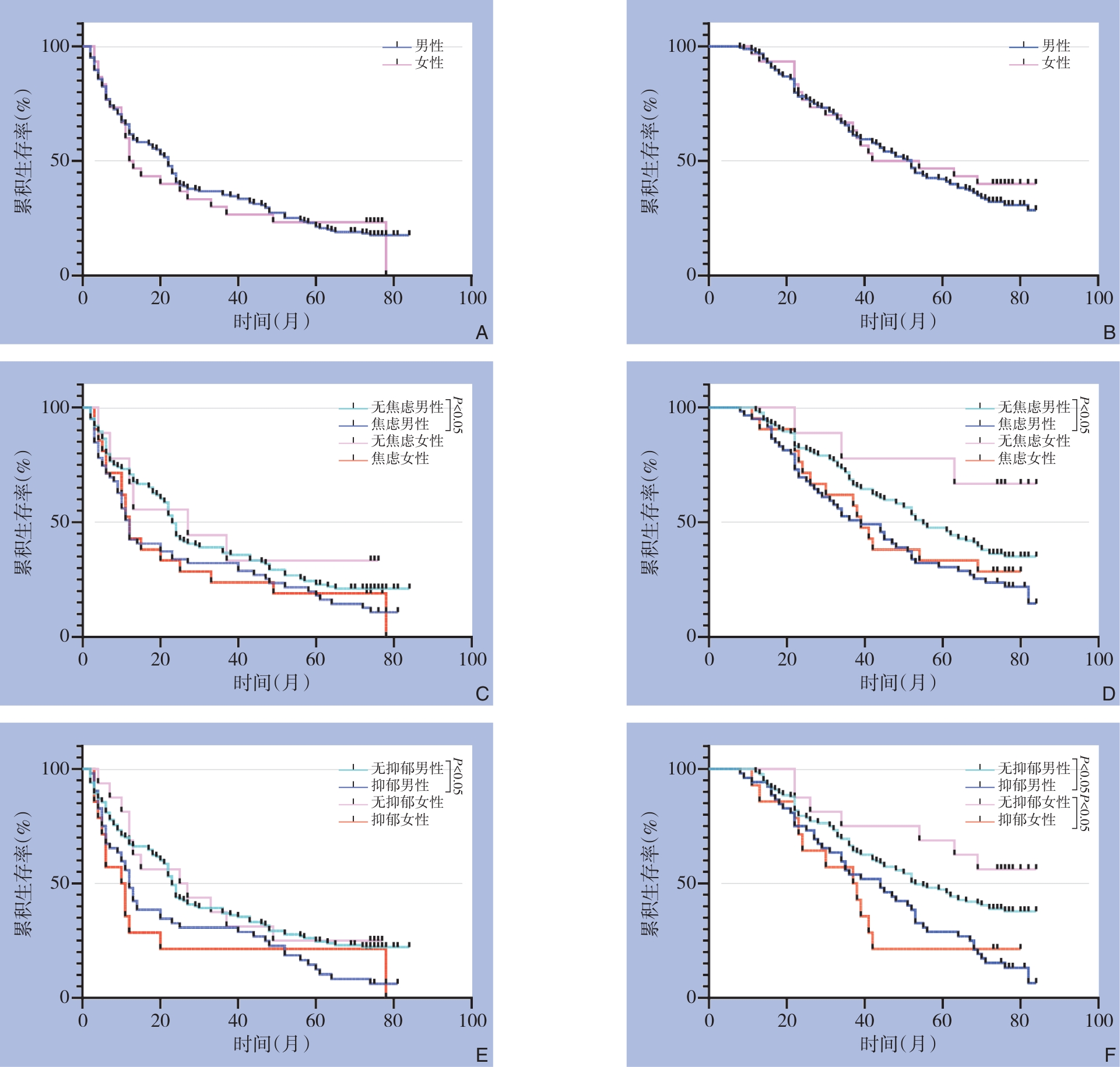
米星宇, 卢诗琪, 满一凡, 潘毅林, 陈魁, 袁野, 曹惠玮, 谢艳会, 周乐杜
Abstract:
背景与目的:肝细胞癌(HCC)术后复发率高、远期预后不佳。随着生物-心理-社会医学模式的发展,心理因素在肿瘤预后中的作用逐渐受到关注,但术前焦虑与抑郁对HCC术后长期生存的影响尚缺乏前瞻性证据。本研究旨在探讨术前焦虑与抑郁状态对HCC患者根治性治疗后预后的影响。 方法:本研究为单中心前瞻性队列研究,连续纳入2019年接受根治性肝切除或消融的HCC患者213例。采用Zung焦虑自评量表(SAS)和抑郁自评量表(SDS)评估术前心理状态。主要终点为总生存期(OS),次要终点为无病生存期(DFS)。采用Kaplan-Meier法及Cox比例风险模型分析预后影响因素。 结果:术前焦虑和抑郁检出率分别为37.6%和31.0%,45.1%患者存在至少一种心理困扰。Kaplan-Meier分析显示,焦虑或抑郁患者的DFS和OS均明显降低(均P<0.05)。多因素分析中,焦虑或抑郁单独纳入模型未显示独立预测价值,但合并为“焦虑或抑郁状态”后,成为DFS(HR=1.589,P=0.003)和OS(HR=1.844,P<0.001)的独立不良预后因素。此外,CNLC分期、手术方式及MVI亦为独立影响因素。 结论:术前焦虑与抑郁在HCC患者中较为常见,并与术后生存不良显著相关。综合评估心理困扰较单一症状更具预后价值,提示应将心理筛查纳入围手术期管理。



























































































