术前焦虑与抑郁状态对肝细胞癌根治术后长期预后影响的前瞻性队列研究
作者:
通讯作者:
作者单位:

1中南大学湘雅医院,肝脏外科,湖南 长沙 410008;3中南大学湘雅医院,临床护理教研室,湖南 长沙 410008;2中南大学,湖南 长沙 410083

作者简介:

米星宇,中南大学湘雅医院住院医师,主要从事肝脏肿瘤临床和基础方面的研究(卢诗琪为共同第一作者)。

基金项目:


A prospective cohort study of the impact of preoperative anxiety and depression on long-term outcomes after radical treatment for hepatocellular carcinoma
Author:
Affiliation:

1Department of Liver Surgery, Xiangya Hospital, Central South University, Changsha 410008, China;3Department of Clinical Nursing, Xiangya Hospital, Central South University, Changsha 410008, China;2Central South University, Changsha 410083, China

Fund Project:

undefined

  • 摘要
  • |
  • 图/表
  • |
  • 访问统计
  • |
  • 参考文献
  • |
  • 相似文献
  • |
  • 引证文献
  • |
  • 资源附件
  • |
  • 音频文件
  • |
  • 视频文件
    摘要:

    背景与目的 肝细胞癌(HCC)术后复发率高、远期预后不佳。随着生物-心理-社会医学模式的发展,心理因素在肿瘤预后中的作用逐渐受到关注,但术前焦虑与抑郁对HCC术后长期生存的影响尚缺乏前瞻性证据。本研究旨在探讨术前焦虑与抑郁状态对HCC患者根治性治疗后预后的影响。方法 本研究为单中心前瞻性队列研究,连续纳入2019年接受根治性肝切除或消融的HCC患者213例。采用Zung焦虑自评量表(SAS)和抑郁自评量表(SDS)评估术前心理状态。主要终点为总生存(OS),次要终点为无病生存(DFS)。采用Kaplan-Meier法及Cox比例风险模型分析预后影响因素。结果 术前焦虑和抑郁检出率分别为37.6%和31.0%,45.1%患者存在至少一种心理困扰。Kaplan-Meier分析显示,焦虑或抑郁患者的DFS和OS均明显降低(均P<0.05)。多因素分析中,焦虑或抑郁单独纳入模型未显示独立预测价值,但合并为“焦虑或抑郁状态”后,成为DFS(HR=1.589,P=0.003)和OS(HR=1.844,P<0.001)的独立不良预后因素。此外,CNLC分期、手术方式及MVI亦为独立影响因素。结论 术前焦虑与抑郁在HCC患者中较为常见,并与术后生存不良显著相关。综合评估心理困扰较单一症状更具预后价值,提示应将心理筛查纳入围手术期管理。

    Abstract:

    Background and Aims Hepatocellular carcinoma (HCC) is characterized by a high recurrence rate and unsatisfactory long-term outcomes after curative treatment. With the development of the bio-psycho-social model, the role of psychological factors in cancer prognosis has gained increasing attention. However, prospective evidence regarding the impact of preoperative anxiety and depression on survival in HCC remains limited. This study aimed to evaluate their association with long-term outcomes after curative treatment.Methods This single-center prospective cohort study consecutively enrolled 213 HCC patients who underwent curative resection or ablation in 2019. Preoperative psychological status was assessed using the Zung Self-Rating Anxiety Scale (SAS) and Self-Rating Depression Scale (SDS). Overall survival (OS) was the primary endpoint, while disease-free survival (DFS) was the secondary endpoint. Survival analyses were performed using the Kaplan-Meier method and Cox regression models.Results The prevalence of preoperative anxiety and depression was 37.6% and 31.0%, respectively, with 45.1% of patients exhibiting at least one condition. Patients with anxiety or depression had significantly worse DFS and OS (both P<0.05). In multivariable analysis, neither anxiety nor depression alone was independently associated with outcomes. However, the combined variable ("anxiety or depression") independently predicted poorer DFS (HR=1.589, P=0.003) and OS (HR=1.844, P<0.001). CNLC stage, surgical approach, and microvascular invasion were also identified as independent prognostic factors.Conclusion Preoperative psychological distress is common in HCC patients and is associated with unfavorable long-term outcomes. A composite assessment of anxiety and depression provides greater prognostic value than individual symptoms, supporting the integration of psychological screening into perioperative management.

    图1 研究对象筛选流程图Fig.1 Flowchart of study participant screening
    图2 焦虑与抑郁患者的韦恩图Fig.2 Venn diagram of patients with anxiety and depression
    图3 HCC术后患者整体预后 A:DFS;B:OSFig.3 Overall prognosis of patients after surgery for HCC A: DFS; B: OS
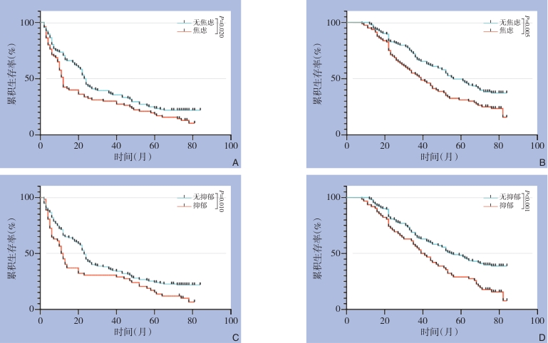
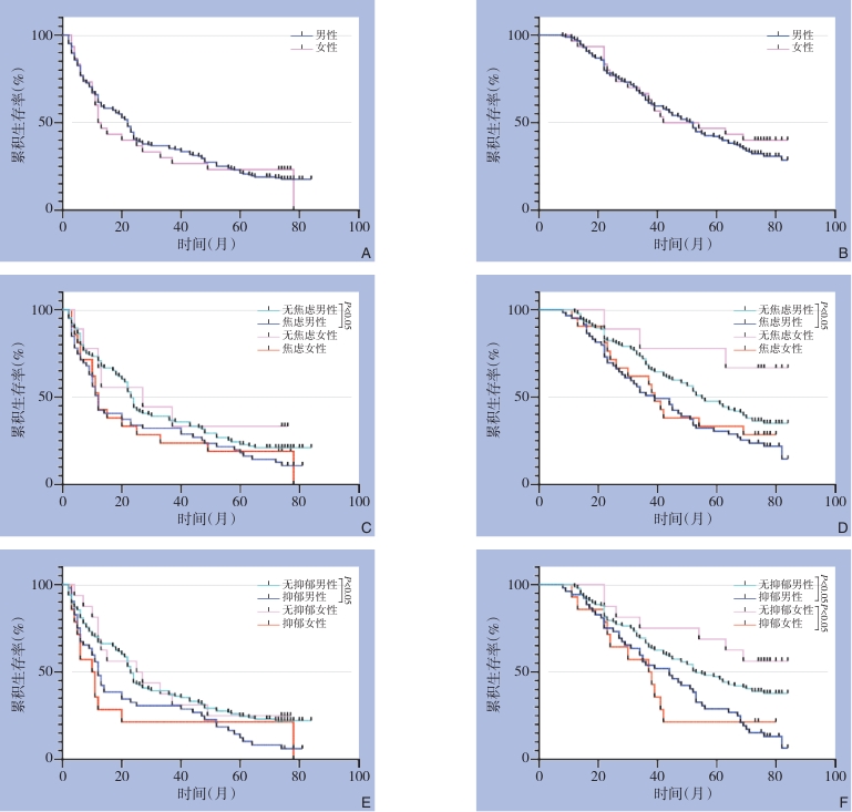
    图4 有无焦虑或抑郁患者的预后比较 A-B:焦虑组与无焦虑组的DFS和OS;C-D:抑郁组与无抑郁组的DFS和OSFig.4 Comparison of prognosis between patients with and without anxiety or depression A-B: DFS and OS in the anxiety and non-anxiety groups; C-D: DFS and OS in the depression and non-depression groups
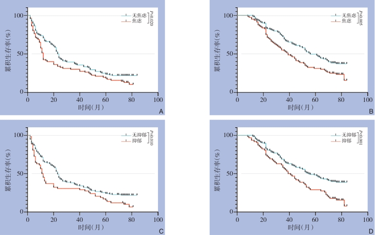
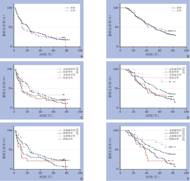
    图5 不同性别患者有无焦虑或抑郁状态的预后比较 A-B:男性与女性患者的总体DFS和OS;C-D:焦虑状态的性别分层分析;E-F:抑郁状态的性别分层分析Fig.5 Comparison of prognosis according to anxiety or depression status across different sexes A-B: Overall DFS and OS in male and female patients; C-D: Sex-stratified analysis of anxiety status; E-F: Sex-stratified analysis of depression status
    图6 焦虑、抑郁共病与单纯焦虑或抑郁患者的预后比较 A:DFS;B:OSFig.6 Comparison of prognosis between patients with comorbid anxiety and depression and those with anxiety or depression alone A: DFS; B: OS
    图7 “焦虑或抑郁状态”患者与无心理障碍患者的预后比较 A:DFS;B:OSFig.7 Comparison of prognosis between patients with anxiety or depression and those without psychological disorders A: DFS; B: OS
    表 4 影响患者DFS的单因素及多因素Cox比例风险回归分析Table 4 Univariate and multivariate Cox proportional hazards regression analysis of factors for DFS of patients
    表 5 影响患者OS的单因素及多因素Cox比例风险回归分析Table 5 Univariate and multivariate Cox proportional hazards regression analysis of factors for OS of patients
    表 6 调整后影响患者DFS的单因素及多因素Cox比例风险回归分析Table 6 Adjusted univariate and multivariate Cox proportional hazards regression analysis of factors for DFS of patients
    表 7 调整后影响患者OS的单因素及多因素Cox比例风险回归分析Table 7 Adjusted univariate and multivariate Cox proportional hazards regression analysis of factors for OS of patients
    图1 研究对象筛选流程图Fig.1 Flowchart of study participant screening
    图2 焦虑与抑郁患者的韦恩图Fig.2 Venn diagram of patients with anxiety and depression
    图3 HCC术后患者整体预后 A:DFS;B:OSFig.3 Overall prognosis of patients after surgery for HCC A: DFS; B: OS
    图4 有无焦虑或抑郁患者的预后比较 A-B:焦虑组与无焦虑组的DFS和OS;C-D:抑郁组与无抑郁组的DFS和OSFig.4 Comparison of prognosis between patients with and without anxiety or depression A-B: DFS and OS in the anxiety and non-anxiety groups; C-D: DFS and OS in the depression and non-depression groups
    图5 不同性别患者有无焦虑或抑郁状态的预后比较 A-B:男性与女性患者的总体DFS和OS;C-D:焦虑状态的性别分层分析;E-F:抑郁状态的性别分层分析Fig.5 Comparison of prognosis according to anxiety or depression status across different sexes A-B: Overall DFS and OS in male and female patients; C-D: Sex-stratified analysis of anxiety status; E-F: Sex-stratified analysis of depression status
    图6 焦虑、抑郁共病与单纯焦虑或抑郁患者的预后比较 A:DFS;B:OSFig.6 Comparison of prognosis between patients with comorbid anxiety and depression and those with anxiety or depression alone A: DFS; B: OS
    图7 “焦虑或抑郁状态”患者与无心理障碍患者的预后比较 A:DFS;B:OSFig.7 Comparison of prognosis between patients with anxiety or depression and those without psychological disorders A: DFS; B: OS
    表 4 影响患者DFS的单因素及多因素Cox比例风险回归分析Table 4 Univariate and multivariate Cox proportional hazards regression analysis of factors for DFS of patients
    表 5 影响患者OS的单因素及多因素Cox比例风险回归分析Table 5 Univariate and multivariate Cox proportional hazards regression analysis of factors for OS of patients
    表 6 调整后影响患者DFS的单因素及多因素Cox比例风险回归分析Table 6 Adjusted univariate and multivariate Cox proportional hazards regression analysis of factors for DFS of patients
    表 7 调整后影响患者OS的单因素及多因素Cox比例风险回归分析Table 7 Adjusted univariate and multivariate Cox proportional hazards regression analysis of factors for OS of patients
    参考文献
    相似文献
    引证文献
引用本文

米星宇,卢诗琪,满一凡,潘毅林,陈魁,袁野,曹惠玮,谢艳会,周乐杜.术前焦虑与抑郁状态对肝细胞癌根治术后长期预后影响的前瞻性队列研究[J].中国普通外科杂志,2026,35(2):306-322.
DOI:10.7659/j. issn.1005-6947.260074

复制
文章指标
  • 点击次数:
  • 下载次数:
历史
  • 收稿日期:2026-02-04
  • 最后修改日期:2026-02-22
  • 录用日期:
  • 在线发布日期: 2026-04-09