肝癌癌旁组织中FGL1的表达特征及其与预后的关系
作者:
通讯作者:
作者单位:

1复旦大学附属华山医院,护理部,上海 200040;2复旦大学附属华山医院,普外科肝胆外科中心,上海 200040;3复旦大学附属华山医院,病理科,上海 200040;4复旦大学附属华山医院,康复医学科,上海 200040

作者简介:

胡春艳,复旦大学附属华山医院护师,主要从事肝胆外科护理方面的研究。

基金项目:

国家自然科学基金资助项目(82303477)。


Expression characteristics of FGL1 in peritumoral tissues of hepatocellular carcinoma and its association with prognosis
Author:
Affiliation:

1Department of Nursing, Huashan Hospital Affiliated to Fudan University, Shanghai 200040, China;2Department of Hepatobiliary Surgery, Huashan Hospital Affiliated to Fudan University, Shanghai 200040, China;3Department of Pathology, Huashan Hospital Affiliated to Fudan University, Shanghai 200040, China;4Department of Rehabilitation Medicine, Huashan Hospital Affiliated to Fudan University, Shanghai 200040, China

Fund Project:

  • 摘要
  • |
  • 图/表
  • |
  • 访问统计
  • |
  • 参考文献
  • |
  • 相似文献
  • |
  • 引证文献
  • |
  • 资源附件
  • |
  • 音频文件
  • |
  • 视频文件
    摘要:

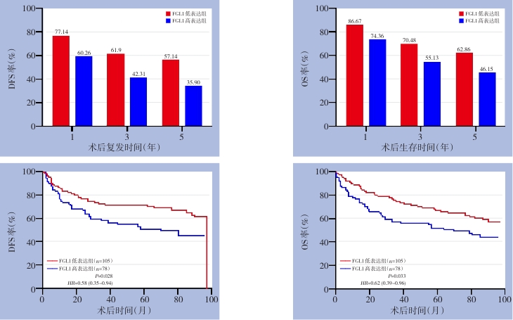
    背景与目的 肝癌具有高度异质性,现有预后模型预测能力有限。纤维蛋白原相关蛋白1(FGL1)是肝脏特异性分泌蛋白,也是淋巴细胞激活基因3(LAG-3)的重要配体,其在肿瘤免疫调控中的作用日益受到关注。本研究旨在评估癌旁组织中FGL1的表达特征及其对肝癌术后预后的预测价值。方法 回顾性纳入2010年1月─2013年12月在复旦大学附属华山医院接受根治性切除的183例肝癌患者。采用免疫组织化学法检测癌旁组织及癌组织中FGL1表达水平,并以H-score进行定量。同时结合TCGA数据库验证表达趋势。通过最大选择秩统计量法确定FGL1表达截断值,比较癌旁FGL1高、低表达患者的生存差异,采用Cox比例风险模型评估独立预后因素。结果 TCGA数据及临床样本均显示,癌旁组织中FGL1表达明显高于癌组织(均P<0.05)。根据最佳截断值将患者分为高表达组与低表达组。高表达组5年无病生存(DFS)率和总体生存(OS)率均显著低于低表达组(均P<0.05)。多因素Cox回归分析显示,癌旁FGL1高表达是DFS(HR=1.689,95% CI=1.010~2.823,P=0.046)和OS(HR=1.733,95% CI=1.112~2.702,P=0.015)的独立危险因素。结论 癌旁组织FGL1表达显著高于肿瘤组织,其高表达与肝癌术后复发及生存不良密切相关。癌旁FGL1可能作为独立预后生物标志物,并为靶向FGL1/LAG-3轴的免疫治疗策略提供潜在依据。

    Abstract:

    Background and Aims Liver cancer exhibits marked biological heterogeneity, and reliable prognostic biomarkers remain limited. Fibrinogen-like protein 1 (FGL1), a liver-specific secreted protein and a major ligand of lymphocyte activation gene 3 (LAG-3), has emerged as a critical regulator of tumor immunity. This study aimed to evaluate the expression pattern of FGL1 in peritumoral tissues and its prognostic significance in liver cancer patients after curative resection.Methods A total of 183 patients with liver cancer who underwent curative resection at Huashan Hospital, Fudan University, between January 2010 and December 2013 were retrospectively collected. FGL1 expression levels in peri-tumoral and tumor tissues were detected by immunohistochemistry and quantified using the H-score method. Expression patterns were further validated using data from The Cancer Genome Atlas (TCGA) database. The optimal cutoff value for FGL1 expression was determined using maximally selected rank statistics. Survival differences between patients with high and low peritumoral FGL1 expression were compared, and independent prognostic factors were evaluated using Cox proportional hazards regression models.Results Both TCGA data and clinical samples demonstrated significantly higher FGL1 expression in peritumoral tissues compared with tumor tissues (both P<0.05). Patients were stratified into high- and low-expression groups based on the optimal cutoff value. High peritumoral FGL1 expression was significantly associated with poorer disease-free survival (DFS) and overall survival (OS) rates (both P<0.05). Multivariate Cox analysis identified peritumoral FGL1 overexpression as an independent predictor of DFS (HR=1.689, 95% CI=1.010-2.823, P=0.046) and OS (HR=1.733, 95% CI=1.112-2.702, P=0.015).Conclusion FGL1 expression is significantly elevated in peritumoral tissues of HCC and independently predicts unfavorable postoperative outcomes. Peri-tumoral FGL1 may serve as a novel prognostic biomarker and a potential therapeutic target in the FGL1/LAG-3 immune axis.

    图1 FGL1在肝癌及癌旁组织中的表达 A:TCGA数据中肝癌癌旁组织和肿瘤组织中FGL1 mRNA表达箱型图;B:183例肝癌患者癌组织与癌旁组织FGL1蛋白表达点状图;C:3例典型肝癌病例癌旁组织和癌组织FGL1蛋白表达对比Fig.1 Expression of FGL1 in hepatocellular carcinoma and peri-tumoral tissues A: Boxplot of FGL1 mRNA expression in peri-tumoral and tumor tissues from the TCGA dataset; B: Dot plot showing FGL1 protein expression in tumor and peri-tumoral tissues from 183 patients with hepatocellular carcinoma; C: Representative images from three typical cases comparing FGL1 protein expression between peri-tumoral and tumor tissues
    图2 癌旁组织FGL1蛋白高、低表达组患者DFS和OS的Kaplan-Meier曲线Fig.2 Kaplan-Meier curves of DFS and OS in patients stratified by high and low FGL1 protein expression in peri-tumoral tissue
    表 1 癌旁组织FGL1高、低表达组患者临床病理特征比较[n(%)]Table 1 Comparison of clinicopathologic characteristics between patients with high and low FGL1 expression in peri-tumoral tissues [n (%)]
    表 2 癌旁组织中FGL1蛋白表达与临床变量的DFS单因素及多因素Cox回归模型Table 2 Univariate and multivariate Cox regression analyses of DFS for FGL1 expression and clinicopathological variables in peri-tumoral tissues
    表 3 癌旁组织中FGL1蛋白表达和临床变量的OS单因素及多因素Cox回归模型Table 3 Univariate and multivariate Cox regression analyses of OS for FGL1 expression and clinicopathological variables in peri-tumoral tissues
    参考文献
    相似文献
    引证文献
引用本文

胡春艳,孙豪庭,刘晓佳,贾杰,王超群.肝癌癌旁组织中FGL1的表达特征及其与预后的关系[J].中国普通外科杂志,2026,35(1):114-123.
DOI:10.7659/j. issn.1005-6947.260010

复制
文章指标
  • 点击次数:
  • 下载次数:
历史
  • 收稿日期:2026-01-06
  • 最后修改日期:2026-01-24
  • 录用日期:
  • 在线发布日期: 2026-03-04