基于肿瘤沉积数目的改良pN分期(mpN)在胃癌预后预测中的应用与验证
作者:
通讯作者:
作者单位:

1.中山大学肿瘤防治中心 胃外科/华南肿瘤学国家重点实验室/广东省恶性肿瘤临床研究中心,广东 广州 510060;2.中山大学 中山医学院,广东 广州 510080;3.广东省人民医院/广东省医学科学院/南方医科大学附属广东省人民医院 胃肠外科,广东 广州 510080

作者简介:

黄博文,中山大学肿瘤防治中心助理研究员,主要从事胃癌防治相关方面的研究

基金项目:

广东省医学科学技术研究基金资助项目(B2025059)。


Application and validation of a tumor-deposit-based modified pN staging (mpN) system for prognostic prediction in gastric cancer
Author:
Affiliation:

1.Department of Gastric Surgery, Sun Yat-sen University Cancer Center, State Key Laboratory of Oncology in South China, Guangdong Provincial Clinical Research Center for Cancer, Guangzhou, 510060, China;2.Zhongshan School of Medicine, Sun Yat-sen University, Guangzhou, 510080, China;3.Department of Gastrointestinal Surgery, Guangdong Provincial People's Hospital/Guangdong Academy of Medical Sciences/Southern Medical University, Guangzhou, 510080, China

Fund Project:

  • 摘要
  • |
  • 图/表
  • |
  • 访问统计
  • |
  • 参考文献
  • |
  • 相似文献
  • |
  • 引证文献
  • |
  • 资源附件
  • |
  • 音频文件
  • |
  • 视频文件
    摘要:

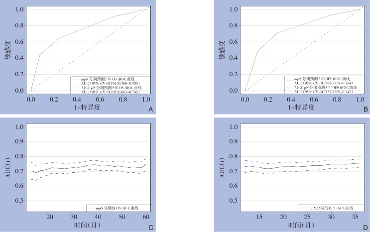
    背景与目的 肿瘤沉积(TD)在胃癌(GC)中的预后意义尚未被第8版AJCC pTNM分期完全体现。本研究评估TD数目对原发性胃癌预后的影响,并基于TD数目提出并验证一种改良的pN分期(mpN),将TD数目>1者归类为pN3b,比较其与第8版AJCC pN分期的预测性能。方法 回顾性双中心队列研究。测试队列纳入2011—2015年中山大学肿瘤防治中心1 327例行根治性切除且淋巴结取样≥16枚的原发性GC患者;验证队列为2015—2022年广东省人民医院340例。按TD数目分为低TD(≤1个)和高TD(>1个)组。采用Kaplan-Meier生存分析、逆概率治疗加权(IPTW)、Cox回归、时间依赖性受试者工作特征(tROC)、C指数与Akaike信息标准(AIC)评估预后及分期模型性能。主要终点为总生存(OS),次要终点为无病生存(DFS)。结果 测试队列中435/1 327(32.7%)为TD阳性。TD存在与较差的OS(IPTW校正HR=2.69,95% CI=2.18~3.31,P<0.01)和DFS(HR=2.82,95% CI=2.32~3.42,P<0.01)相关;在多变量分析中,TD仍为OS(HR=1.65,95% CI=1.34~2.05,P<0.01)和DFS(HR=1.74,95% CI=1.43~2.11,P<0.01)的独立危险因素。随TD数目增加,5年OS和3年DFS显著下降;基于X-tile确定的截断值1将患者分为低/高TD组,高TD组预后显著更差(OS:校正HR=3.65,95% CI=2.74~4.88;DFS:校正HR=3.74,95% CI=2.85~4.91,均P<0.01)。将TD数目>1个者升为pN3b构建的mpN分期,在测试队列中对5年OS的tROC曲线下面积(tAUC)为0.746(vs. 0.703,AJCC),C指数0.738(vs. 0.721,AJCC),AIC 5 805.27(vs. 5 849.30,AJCC);在验证队列中亦显示一致的改进。结论 TD在胃癌预后中具有显著的不良影响,且TD数目>1个可作为将患者分层至更高风险(pN3b)的阈值。将TD数目纳入mpN分期可提高预后预测准确性。建议病理报告例行记录TD及其数目,并在更大、多中心前瞻性队列中进一步验证mpN分期的临床应用价值。

    Abstract:

    Background and Aims Tumor deposits (TDs) may influence prognosis beyond the current 8th edition AJCC pTNM nodal classification in gastric cancer (GC). This study investigates the prognostic value of TD number and proposes an improved pN staging (mpN) that classifies patients with TD number >1 as pN3b. We validated the mpN staging against the 8th AJCC pN staging.Methods A dual-center retrospective cohort study was performed, including 1 327 patients who underwent radical gastrectomy at Sun Yat-sen University Cancer Center (2011-2015; test cohort) and 340 patients from Guangdong Provincial People's Hospital (2015-2022; validation cohort). Patients were dichotomized into low-TD (≤1) and high-TD (>1) groups. Outcomes were overall survival (OS) and disease-free survival (DFS). Survival analyses used Kaplan-Meier curves, IPTW, and Cox regression. Predictive performance of staging systems was assessed by time-dependent ROC (tROC)/tAUC, concordance index (C-index) and Akaike information criterion (AIC).Results TDs were present in 435/1 327 (32.7%) in the test cohort. Presence of TD was associated with worse OS (IPTW-adjusted HR=2.69, 95% CI=2.18-3.31, P<0.01) and DFS (HR=2.82, 95% CI=2.32-3.42, P<0.01). In multivariable models, TD remained an independent adverse factor for OS (HR=1.65, 95% CI=1.34-2.05; P<0.01) and DFS (HR=1.74, 95% CI=1.43-2.11, P<0.01). Increasing TD number correlated with progressively poorer survival; X-tile identified >1 as an optimal cutoff, with high-TD patients showing markedly worse outcomes (OS: adjusted HR=3.65, 95% CI=2.74-4.88; DFS: adjusted HR=3.74, 95% CI=2.85-4.91; both P<0.01). Incorporation of TD number into the mpN staging (assigning TD>1 to pN3b) improved prognostic discrimination: in the test cohort 5-year OS tAUC was 0.746 for mpN vs. 0.703 for AJCC pN (C-index 0.738 vs. 0.721, AIC 5 805.27 vs. 5 849.30); similar improvements were observed in the validation cohort.Conclusion TD presence and number exert significant negative prognostic impact in GC. Classifying patients with TD number >1 as pN3b enhances prognostic accuracy. Routine reporting of TD counts and further prospective multicenter validation of mpN staging are warranted.

    图1 测试队列TD阳性组与TD阴性组的Kaplan-Meier分析 A:OS率;B:DFS率Fig.1 Kaplan-Meier analysis of TD-positive group and TD-negative group in test cohort A: OS rate; B: DFS rate
    图2 TD对临床亚组OS相互作用的森林图Fig.2 Forest plot for the interaction effect of TD on OS among clinical subgroups
    图3 不同TD数目患者的Kaplan-Meier分析 A:OS率;B:DFS率Fig.3 Kaplan-Meier analysis of patients with different TD numbers A: OS rate; B: DFS rate
    图4 高TD组的各pN分期与初始pN3a、pN3b期的Kaplan-Meier分析(hN0、hN1、hN2、hN3a、hN3b:高TD组的各pN分期;iN3a、iN3b:初始pN3a、pN3b期) A:OS率;B:DFS率Fig.4 Kaplan-Meier analysis comparing the modified pN stages in the high-TD group with the initial pN3a and pN3b stages (hN0, hN1, hN2, hN3a, hN3b: pN stages in the high-TD group; iN3a, iN3b: initial pN3a and pN3b stages) A: OS rate; B: DFS rate
    图5 mpN分期与第8版AJCC pN分期的tROC及tAUC A: 5年OS;B:3年DFS;C:mpN分期OS的tAUC和不同时间点的95% CI;D:mpN分期DFS的tAUC和不同时间点的95% CIFig.5 tROC curves and tAUC comparing mpN staging with the 8th AJCC pN staging A: 5-year OS; B: 3-year DFS; C: tAUC of OS for mpN staging with 95% CI at different time points; D: tAUC of DFS for mpN staging with 95% CI at different time points
    表 1 测试队列与验证队列基线数据比较[n(%)]Table 1 Comparison of baseline data between the test cohort and the validation cohort [n (%)]
    表 2 测试队列与验证队列基线数据比较[n(%)](续)Table 2 Comparison of baseline data between the test cohort and the validation cohort [n (%)] (continued)
    表 3 测试队列mpN分期与第8版AJCC pN分期对5年OS和3年DFS的预测效能Table 3 The predictive efficacy of mpN staging and the 8th edition of AJCC pN staging for 5-year OS and 3-year DFS in test cohort
    表 4 验证队列mpN分期与第8版AJCC pN分期对5年OS和3年DFS的预测效能Table 4 The predictive efficacy of mpN staging and the 8th edition of AJCC pN staging for 5-year OS and 3-year DFS in validation cohort
    参考文献
    相似文献
    引证文献
引用本文

黄博文,周俊志,陈志浩,陈迎佳,张偌鹏,王汶锴,王俊江,赵百伟.基于肿瘤沉积数目的改良pN分期(mpN)在胃癌预后预测中的应用与验证[J].中国普通外科杂志,2025,34(10):2095-2105.
DOI:10.7659/j. issn.1005-6947.250562

复制
文章指标
  • 点击次数:
  • 下载次数:
历史
  • 收稿日期:2025-10-03
  • 最后修改日期:2025-10-23
  • 录用日期:
  • 在线发布日期: 2025-12-05