基于双中心数据的肝门部胆管癌术前淋巴结转移预测模型构建
作者:
通讯作者:
作者单位:

1中国人民解放军陆军军医大学第一附属医院 肝胆外科/全军肝胆外科研究所,重庆 400038;2青海大学附属医院 肝胆外科,青海 西宁 810001

作者简介:

游金杉,中国人民解放军陆军军医大学第一附属医院博士研究生,主要从事肝胆胰外科基础与临床方面的研究。

基金项目:

重庆市中青年医学高端人才基金资助项目(524Z28F1)。


Development of a preoperative prediction model for lymph node metastasis in perihilar cholangiocarcinoma based on dual-center data
Author:
Affiliation:

1Department of Hepatobiliary Surgery/Army Hepatobiliary Surgery Research Institute, the First Affiliated Hospital of Army Medical University, Chongqing 400038, China;2Department of Hepatopancreatobiliary Surgery, Affiliated Hospital of Qinghai University, Xining 810001, China

Fund Project:

  • 摘要
  • |
  • 图/表
  • |
  • 访问统计
  • |
  • 参考文献
  • |
  • 相似文献
  • |
  • 引证文献
  • |
  • 资源附件
  • |
  • 音频文件
  • |
  • 视频文件
    摘要:

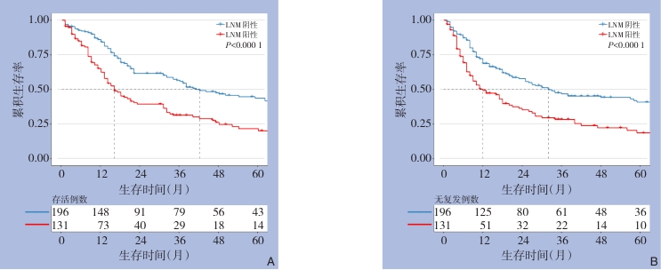
    背景与目的 肝门部胆管癌(pCCA)患者一旦发生淋巴结转移(LNM),生存显著下降。然而,术前准确预测LNM仍然困难。本研究旨在筛选与病理LNM独立相关的术前临床及影像学因素,并构建可用于术前风险分层的预测模型。方法 回顾性纳入2020年10月—2024年10月在中国人民解放军陆军军医大学第一附属医院和青海大学附属医院接受根治性切除的327例pCCA患者。根据术后病理结果分为LNM阳性组(n=131)和阴性组(n=196)。比较两组基线特征,采用单因素及多因素Logistic回归分析筛选独立预测因素,并基于回归结果构建列线图模型。结果 LNM阳性患者的中位总生存期(16.0个月 vs. 42.0个月)和无复发生存期(12.0个月 vs. 32.0个月)均显著低于阴性组(均P<0.001)。多因素Logistic回归分析显示:年龄≥65岁为保护因素(OR=0.556,P=0.021),而糖类抗原19-9(CA19-9)≥200 U/mL(OR=2.266,P=0.001)及影像学怀疑LNM(OR=2.917,P=0.001)为独立危险因素。基于上述变量构建的列线图模型可实现个体化术前LNM风险量化评估。结论 年龄、CA19-9水平及影像学淋巴结状态可作为pCCA术前预测LNM的独立指标。基于三项易获取变量构建的列线图模型具有良好的临床实用性,有助于术前风险分层和淋巴结清扫策略优化。

    Abstract:

    Background and Aims Lymph node metastasis (LNM) markedly impairs survival in patients with perihilar cholangiocarcinoma (pCCA). However, reliable preoperative predictors of pathological LNM remain limited. This study aimed to identify independent preoperative predictors of LNM and to develop a clinically applicable prediction model.Methods A total of 327 consecutive patients with pCCA who underwent curative-intent resection between October 2020 and October 2024 at the First Affiliated Hospital of Army Medical University (Southwest Hospital) and the Affiliated Hospital of Qinghai University were retrospectively enrolled. Patients were stratified into LNM-positive (n=131) and LNM-negative (n=196) groups according to postoperative pathological findings. Baseline characteristics were compared between the two groups. Univariate and multivariable logistic regression analyses were performed to identify independent predictors of pathological LNM. A nomogram was subsequently constructed based on the multivariable model.Results Patients with LNM had significantly shorter median overall survival (16.0 months vs. 42.0 months) and recurrence-free survival (12.0 months vs. 32.0 months) compared with those without LNM (both P<0.001). Multivariable logistic regression analysis demonstrated that age ≥65 years was a protective factor (OR=0.556, P=0.021), whereas CA19-9≥200 U/mL (OR=2.266, P=0.001) and radiologic suspicion of nodal involvement (OR=2.917, P=0.001) were independently associated with an increased risk of pathological LNM. The resulting nomogram demonstrated the ability to provide an individualized quantitative estimate of preoperative LNM risk.Conclusion Age, CA19-9 level, and radiologic nodal status independently predict pathological LNM in pCCA. The proposed nomogram provides a simple and clinically practical tool for preoperative risk stratification and surgical planning.

    图1 LNM阳性组和LNM阴性组pCCA患者生存曲线 A:OS曲线;B:RFS曲线Fig.1 Survival curves of pCCA patients in the LNM-positive and LNM-negative groups A: OS curves; B: RFS curves
    图2 术前预测pCCA患者LNM的风险列线图模型构建Fig.2 Nomogram for preoperative prediction of LNM in patients with pCCA
    表 1 LNM阳性组与LNM阴性组pCCA患者一般资料及临床病理特征比较[n(%)]Table 1 Comparison of general data and clinicopathologic characteristics between pCCA patients in the LNM-positive and LNM-negative groups [n (%)]
    表 2 LNM阳性组和LNM阴性组pCCA患者术后病理及预后信息Table 2 Postoperative pathological characteristics and survival outcomes of patients with pCCA stratified by LNM status
    表 3 pCCA患者LNM相关危险因素的多变量Logistic回归分析Table 3 Multivariable Logistic regression analysis of risk factors associated with LNM in patients with pCCA
    参考文献
    相似文献
    引证文献
引用本文

游金杉,李子沐,简睿,王志鑫,刘智鹏,戴海粟,白洁,江艳,陈志宇.基于双中心数据的肝门部胆管癌术前淋巴结转移预测模型构建[J].中国普通外科杂志,2026,35(2):260-268.
DOI:10.7659/j. issn.1005-6947.250513

复制
文章指标
  • 点击次数:
  • 下载次数:
历史
  • 收稿日期:2025-09-09
  • 最后修改日期:2026-01-15
  • 录用日期:
  • 在线发布日期: 2026-04-09