初始不可切除肝细胞癌经转化治疗后手术切缘宽度安全阈值分析
作者:
通讯作者:
作者单位:

中山大学肿瘤防治中心 肝脏外科,广东 广州 510060

作者简介:

余未,中山大学肿瘤防治中心博士研究生,主要从事肝脏恶性肿瘤方面的研究(

基金项目:

国家自然科学基金资助项目(82472801)。


Analysis of the safe threshold of surgical margin width after conversion therapy for initially unresectable hepatocellular carcinoma
Author:
Affiliation:

Department of Liver Surgery, Cancer Prevention and Control Center, Sun Yat-sen University, Guangzhou 510060, China

Fund Project:

  • 摘要
  • |
  • 图/表
  • |
  • 访问统计
  • |
  • 参考文献
  • |
  • 相似文献
  • |
  • 引证文献
  • |
  • 资源附件
  • |
  • 音频文件
  • |
  • 视频文件
    摘要:

    目的 对于初始不可切除的肝细胞癌(HCC),转化治疗为患者争取根治性切除提供了新的机会。然而,转化治疗后手术的最佳切缘宽度尚无共识。本研究旨在探讨转化治疗后肝癌切除术中切缘宽度对预后的影响,并分析影响转化治疗后手术疗效的独立预后因素。方法 回顾性分析2015年2月—2022年6月于中山大学肿瘤防治中心接受转化治疗后行根治性切除的413例初始不可切除HCC患者的临床资料。依据术中病理实测切缘,将患者分为肿瘤切缘<1 cm与≥1 cm两组,并进一步分为切缘=0 cm、=0.1 cm和>0.1 cm亚组,比较组间生存差异。采用Kaplan-Meier法及Cox回归模型评估无瘤生存期(DFS)和总生存期(OS)及其影响因素。结果 切缘<1 cm组与≥1 cm组的3年OS及DFS均无明显差异(均P>0.05)。相比之下,切缘=0 cm患者的OS明显低于切缘=0.1 cm者(P=0.048),但切缘=0.1 cm与>0.1 cm患者的OS及DFS差异均无统计学意义(均P>0.05)。多因素分析显示,多个肿瘤、低分化及微血管侵犯是OS和DFS的独立不良预后因素(均P<0.05),靶向治疗对DFS具有保护作用(P=0.014)。结论 转化治疗后HCC根治性切除的安全切缘阈值可降低至0.1 cm。传统≥1 cm切缘标准未能带来额外的生存获益。病理切缘≥0.1 cm可显著改善患者OS,而零切缘切除则增加复发和死亡风险。多灶性、低分化及微血管侵犯提示转化治疗后手术患者预后不良,术前靶向或免疫治疗可能改善生存结局。

    Abstract:

    Background and Aims Conversion therapy offers initially unresectable hepatocellular carcinoma (HCC) patients a chance for curative resection. However, the optimal margin width following conversion remains unclear. This study aimed to evaluate the impact of surgical margin width on prognosis and identify independent prognostic factors in HCC patients undergoing hepatectomy after conversion therapy.Methods A retrospective analysis was performed on 413 patients with initially unresectable HCC who received conversion therapy and underwent radical resection at Cancer Prevention and Control Center of Sun Yat-sen University between February 2015 and June 2022. According to the intraoperatively measured pathological margin, patients were classified into two groups: tumor margin <1 cm and ≥1 cm, and further divided into subgroups with margins of 0 cm, 0.1 cm, and >0.1 cm to compare survival differences among groups. The Kaplan–Meier method and Cox proportional hazards model were used to evaluate disease-free survival (DFS), overall survival (OS), and their influencing factors.Results The 3-year OS and DFS showed no significant difference between the <1 cm and ≥1 cm groups (both P>0.05). However, patients with a 0 cm margin had significantly worse OS than those with a 0.1 cm margin (P=0.048). No significant survival difference was observed in OS and DFS between the 0.1 cm and >0.1 cm groups (both P>0.05). Multivariate analysis identified multiple tumors, poor differentiation, and microvascular invasion as independent adverse prognostic factors for both OS and DFS (all P<0.05), whereas targeted therapy was an independent protective factor for DFS (P=0.014).Conclusion A pathological margin ≥0.1 cm provides comparable survival to wider margins and can be considered a safe threshold for HCC patients undergoing hepatectomy after conversion therapy. The conventional 1 cm margin standard offers no additional benefit. Multiple tumors, poor differentiation, and microvascular invasion predict poor prognosis, while targeted and immunotherapy during conversion may improve long-term outcomes.

    图1 切缘<1 cm组与切缘≥1 cm组Kaplan-Meier曲线 A:OS;B:DFSFig.1 Kaplan-Meier curves for patients with surgical margin <1 cm and ≥1 cm A: OS; B: DFS
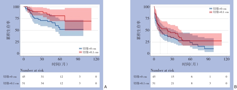
    图2 切缘=0 cm组与切缘=0.1 cm组的Kaplan-Meier曲线 A:OS;B:DFSFig.2 Kaplan-Meier curves for patients with surgical margin=0 cm and =0.1 cm A: OS; B: DFS
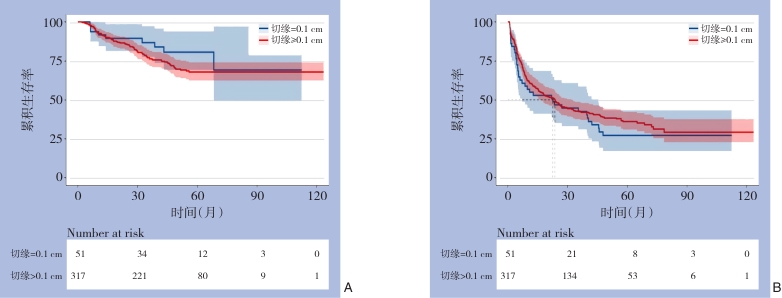
    图3 切缘=0.1 cm组与切缘>0.1 cm组的Kaplan-Meier曲线 A:OS;B:DFSFig.3 Kaplan-Meier curves for patients with surgical margin=0.1 cm and >0.1 cm A: OS; B: DFS
    表 1 413例HCC患者的临床特征Table 1 Clinical characteristics of the 413 HCC patients
    表 2 转化治疗后手术的HCC患者预后的影响因素分析Table 2 Analysis of prognostic factors in HCC patients undergoing surgery after conversion therapy
    参考文献
    相似文献
    引证文献
引用本文

余未,梁骏,杨振云,张耀军,陈敏山,胡丹旦.初始不可切除肝细胞癌经转化治疗后手术切缘宽度安全阈值分析[J].中国普通外科杂志,2025,34(9):1987-1995.
DOI:10.7659/j. issn.1005-6947.250307

复制
文章指标
  • 点击次数:
  • 下载次数:
历史
  • 收稿日期:2025-06-03
  • 最后修改日期:2025-09-13
  • 录用日期:
  • 在线发布日期: 2025-10-29