血液代谢物与两种甲状腺自身免疫性疾病因果关联的孟德尔随机化分析
作者:
通讯作者:
作者单位:

1.中南大学湘雅医院 Ⅰ期临床试验中心,湖南 长沙 410008;2.中南大学湘雅医院 国家老年疾病临床医学研究中心,湖南 长沙 410008;3.中南大学湘雅医院 麻醉科,湖南 长沙 410008;4.中南大学湘雅三医院 麻醉科,湖南 长沙 410013

作者简介:

蒙怡,中南大学湘雅医院硕士研究生,主要从事心血管药物治疗学方面的研究。

基金项目:

湖南省自然科学基金资助项目(2023JJ60143)。


Mendelian randomization analysis of the causal associations between blood metabolites and two autoimmune thyroid diseases
Author:
Affiliation:

1.Phase I Clinical Trial Center, Xiangya Hospital, Central South University, Changsha 410008, China;2.National Clinical Research Center for Geriatric Disorders, Xiangya Hospital, Central South University, Changsha 410008, China;3.Department of Anesthesiology, Xiangya Hospital, Central South University, Changsha 410008, China;4.Department of Anesthesiology, Third Xiangya Hospital, Central South University, Changsha 410013, China

Fund Project:

  • 摘要
  • |
  • 图/表
  • |
  • 访问统计
  • |
  • 参考文献
  • |
  • 相似文献
  • |
  • 引证文献
  • |
  • 资源附件
  • |
  • 音频文件
  • |
  • 视频文件
    摘要:

    背景与目的 甲状腺自身免疫性疾病(AITD)与代谢紊乱密切相关,但代谢物在发病中的因果作用尚不明确。本研究基于双样本孟德尔随机化(MR)方法,系统评估约1 400种血液代谢物与Graves病(GD)及桥本甲状腺炎(HT)的因果关系,以筛选潜在风险或保护性代谢物,为病因机制研究和代谢靶向干预提供遗传学证据。方法 利用公开的血液代谢物和AITD全基因组关联研究(GWAS)汇总数据,采用逆方差加权法为主、多种MR方法为辅,评估代谢物与GD及HT的因果效应,并结合异质性检验、水平多效性检验及留一法进行敏感性分析。结果 共识别出49种与GD、89种与HT具有显著因果关联的代谢物。其中,己酰谷氨酰胺、神经酰胺(d18∶1/16∶0)等为GD风险因素,N2,N2-二甲基鸟苷和β-羟基异戊酰肉碱等为保护因素;孕二醇硫酸盐、茶碱等与HT风险增加相关,二氢亚麻酸(20∶3n3 or n6)、辛酸盐等呈保护作用。α-酮戊二酸/琥珀酸比值与两种疾病均呈正相关,提示可能的共同代谢风险机制。结论 本研究从遗传学层面揭示了多种血液代谢物与GD及HT的因果关系,部分代谢物有望作为预测或保护性标志物,为AITD的发病机制阐释、早期筛查及个体化代谢干预提供新思路。

    Abstract:

    Background and Aims Autoimmune thyroid disease (AITD) are closely associated with metabolic dysregulation, but the causal role of specific metabolites remains unclear. This study aimed to systematically evaluate the causal relationships between approximately 1 400 blood metabolites and two major AITD subtypes-Graves' disease (GD) and Hashimoto's thyroiditis (HT)-using a two-sample Mendelian randomization (MR) approach, to identify potential risk or protective metabolites and provide genetic evidence for mechanistic studies and targeted metabolic interventions.Methods Summary-level genome-wide association study (GWAS) data for blood metabolites and AITDs were analyzed using inverse-variance weighted MR as the primary method, supplemented by MR-Egger, weighted median, and mode-based methods. Heterogeneity, pleiotropy, and robustness were assessed through Cochran's Q test, horizontal pleiotropy test, and leave-one-out analyses.Results Forty-nine metabolites showed significant causal associations with GD and 89 with HT. Hexanoylglutamine and ceramide (d18∶1/16∶0) were identified as GD risk factors, while N2, N2-dimethylguanosine and β-hydroxyisovalerylcarnitine were protective. Pregnanediol sulfate and theobromine were associated with increased HT risk, whereas dihomo-linolenate (20:3n3 or n6) and caprylate appeared protective. The α-ketoglutarate/succinate ratio was positively associated with both diseases, suggesting a shared metabolic risk pathway.Conclusion This MR study provides genetic evidence supporting causal links between multiple blood metabolites and GD or HT. Several metabolites may serve as predictive or protective biomarkers, offering novel insights into the pathophysiology, early screening, and personalized metabolic intervention strategies for AITDs.

    图1 研究总设计流程图Fig.1 Overall flow chart of this study
    图2 MR分析的环形热图 A:GD;B:HTFig.2 Circular heatmap of MR analysis A: GD; B: HT
    图3 血液代谢物与GD因果关系的MR分析森林图Fig.3 Forest plot of the MR analysis on the causal relationship between blood metabolites and GD
    图4 血液代谢物与HT因果关系的MR分析森林图Fig.4 Forest plot of the MR analysis on the causal relationship between blood metabolites and HT
    图5 血液代谢物与GD因果关系的MR分析散点图Fig.5 Scatter plots for the causal association between serum metabolites and GD
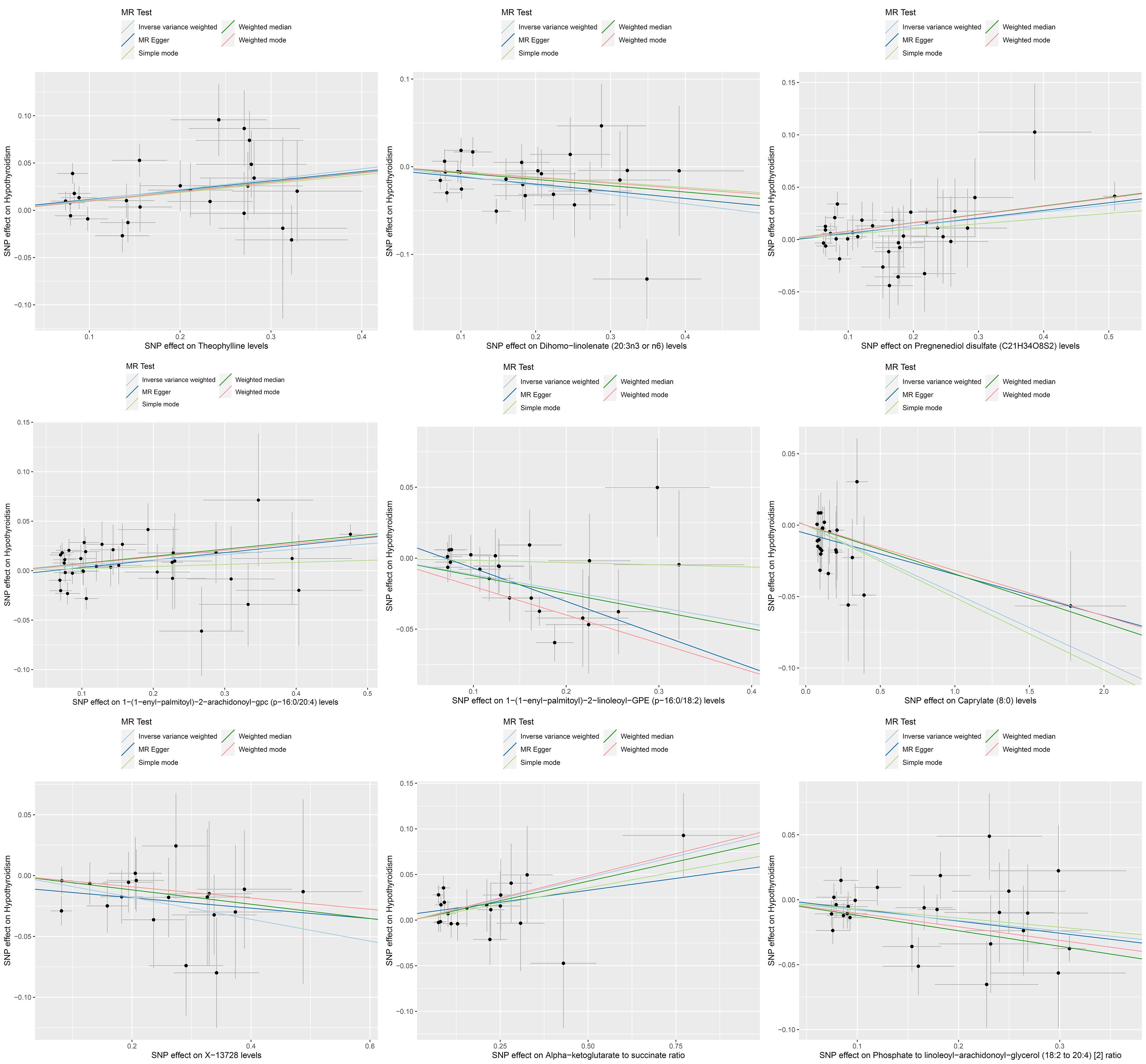
    图6 血液代谢物与HT因果关系的MR分析散点图Fig.6 Scatter plots for the causal association between serum metabolites and HT
    图7 血液代谢物与GD因果关系的留一法图Fig.7 Leave-one-out plots for the causal association between serum metabolites and GD
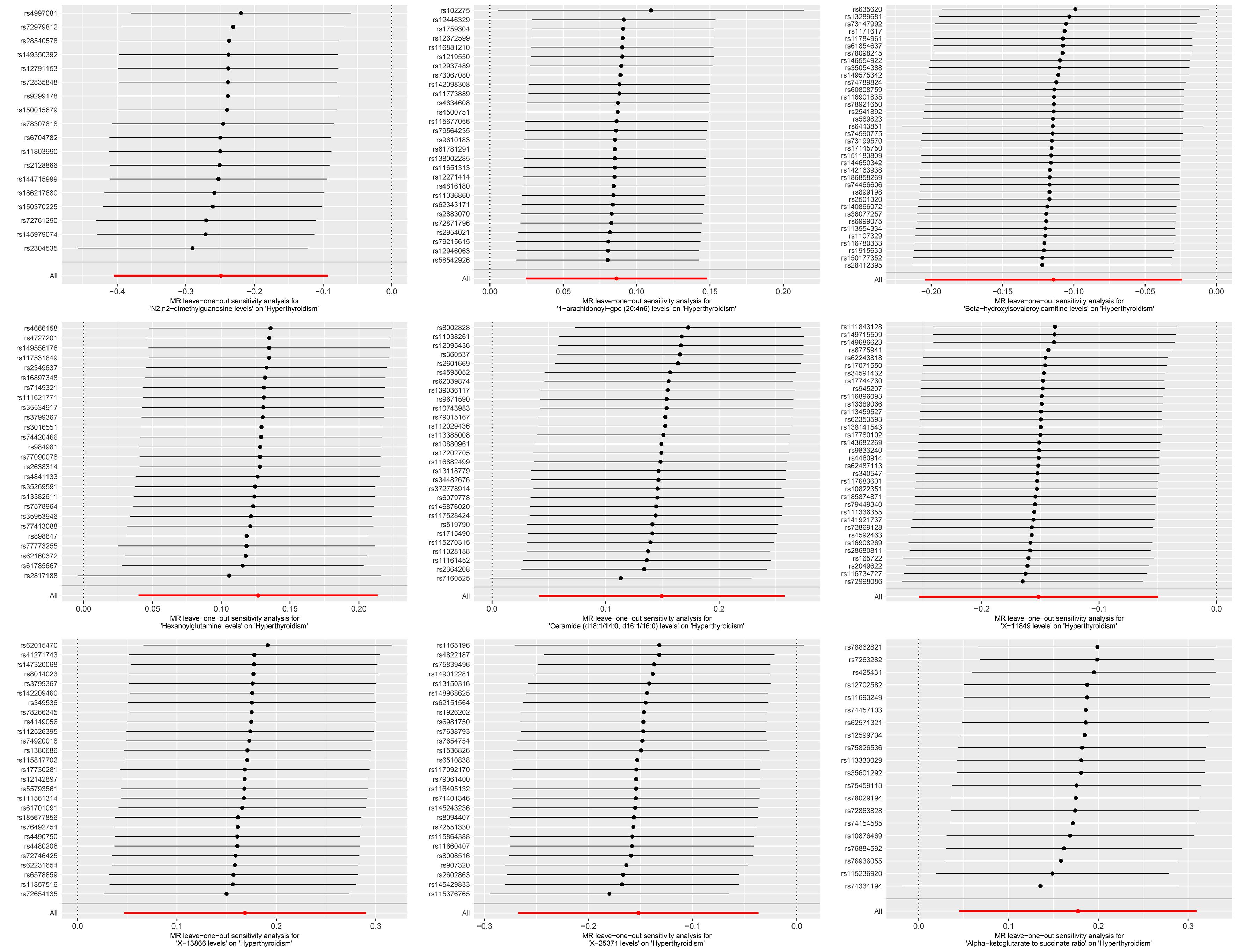
    图8 血液代谢物与HT因果关系的留一法图Fig.8 Leave-one-out plots for the causal association between serum metabolites and HT
    表 1 Cochrans Q异质性检验结果(GD)Table 1 Results of heterogeneity by Cochrans Q test (GD)
    表 2 Cochrans Q异质性检验结果(HT)Table 2 Results of heterogeneity by Cochrans Q test (HT)
    表 3 基于MR-Egger分析和MR-PRESSO检验的水平多效性检验结果(GD)Table 3 Results of horizontal pleiotropy tests based on MR-Egger analysis and MR-PRESSO test (GD)
    表 4 基于MR-Egger分析和MR-PRESSO检验的水平多效性检验结果(HT)Table 4 Results of horizontal pleiotropy tests based on MR-Egger analysis and MR-PRESSO test (HT)
    参考文献
    相似文献
    引证文献
引用本文

蒙怡,蒋明浩,张彦新,曾友捷,徐素梅,李岱.血液代谢物与两种甲状腺自身免疫性疾病因果关联的孟德尔随机化分析[J].中国普通外科杂志,2025,34(7):1451-1463.
DOI:10.7659/j. issn.1005-6947.250212

复制
文章指标
  • 点击次数:
  • 下载次数:
历史
  • 收稿日期:2025-04-15
  • 最后修改日期:2025-07-19
  • 录用日期:
  • 在线发布日期: 2025-09-02