肠道菌群与胆石症因果关系的孟德尔随机化研究
作者:
通讯作者:
作者单位:

1.青海大学 研究生院,青海 西宁 810000;2.青海大学附属医院 肝胆胰外科,青海 西宁810001

作者简介:

黄博,青海大学/青海大学附属医院硕士研究生,主要从事肝胆外科方面的研究。

基金项目:

2021年度青海省“昆仑英才·高端创新创业人才”基金资助项目。


Author:
Affiliation:

Fund Project:

  • 摘要
  • |
  • 图/表
  • |
  • 访问统计
  • |
  • 参考文献
  • |
  • 相似文献
  • |
  • 引证文献
  • |
  • 资源附件
  • |
  • 音频文件
  • |
  • 视频文件
    摘要:

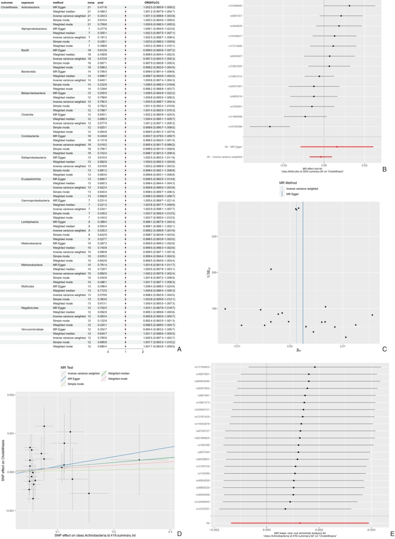
    背景与目的 肠道菌群作为人体最大的微生物群落,与宿主健康密切相关。孟德尔随机化(MR)是探索肠道菌群与疾病因果关系的有效方法。因此,本研究运用MR评估肠道菌群失调与胆石症发生之间的因果关联。方法 以肠道菌群作为暴露因素、胆石症作为结局因素、单核苷酸多态性作为工具变量,进行两样本MR分析。结果 共筛选出16种与胆石症发生相关的肠道菌群。其中,红蝽菌纲与胆石症存在显著因果关联(OR=0.995,95% CI=0.991~0.999,P=0.018),是胆石症的保护因素。其余菌群基于现有数据,未能确立与胆石症发生的明确因果关联。结论 本研究通过MR分析证实肠道菌群中的红蝽菌纲是胆石症的保护因素,强调了其在胆石症发病机制中的潜在作用。其余菌群与胆石症的因果关联尚不明确,需进一步研究。

    Abstract:

    图1 MR分析结果 A:森林图;B:敏感度分析;C:漏斗图;D:散点图;E:肠道菌群与胆石症的留一法结果Fig.1
    参考文献
    相似文献
    引证文献
引用本文

黄博,李浩,王硕晨,胡佳凤,严晓成,任宾.肠道菌群与胆石症因果关系的孟德尔随机化研究[J].中国普通外科杂志,2025,34(6):1301-1306.
DOI:10.7659/j. issn.1005-6947.240369

复制
文章指标
  • 点击次数:
  • 下载次数:
历史
  • 收稿日期:2024-07-12
  • 最后修改日期:2025-06-05
  • 录用日期:
  • 在线发布日期: 2025-08-01