意外胆囊癌二次术后早期复发的危险因素及辅助化疗疗效分析
作者:
通讯作者:
作者单位:

西安交通大学第一附属医院 肝胆外科,陕西 西安 710061

作者简介:

李起,西安交通大学第一附属医院博士研究生,主要从事胆道恶性肿瘤基础与临床方面的研究。

基金项目:

国家自然科学基金资助项目(62076194);陕西省重点研发计划基金资助项目(2021SF-016;2022SF-606)。


Analysis of risk factors for early recurrence of incidental gallbladder cancer after second surgery and the efficacy of adjuvant chemotherapy
Author:
Affiliation:

Department of Hepatobiliary Surgery, the First Affiliated Hospital of Xi'an Jiaotong University, Xi'an 710061, China

Fund Project:

  • 摘要
  • |
  • 图/表
  • |
  • 访问统计
  • |
  • 参考文献
  • |
  • 相似文献
  • |
  • 引证文献
  • |
  • 资源附件
  • |
  • 音频文件
  • |
  • 视频文件
    摘要:

    背景与目的 术后早期复发是胆囊癌预后不良的重要危险因素,越来越多的证据表明辅助化疗可以改善患者的预后。但目前有关意外胆囊癌(IGBC)二次术后早期复发及辅助化疗对患者预后的影响尚未见报道。因此,本文探讨IGBC二次术后早期复发的危险因素及分析辅助化疗对于早期复发和非早期复发患者的疗效,以为临床提供决策支持。方法 回顾性收集2011年1月—2021年12月于西安交通大学第一附属医院肝胆外科因IGBC行意向性根治术的170例患者的临床病理资料,分析患者术后早期复发的影响因素(早期复发定义为二次意向根治术后12个月内),以及患者术后无复发生存(RFS)与总体生存(OS)的影响因素。结果 170例行IGBC意向性根治术后患者,随访期间复发者73例(42.94%)、早期复发者41例(24.12%)。IGBC术后早期复发患者中位OS时间明显短于非早期复发患者(χ2=192.910,P<0.001)。病理分化程度(OR=20.758,95% CI=5.557~80.239)、CA19-9水平(OR=7.920,95% CI=1.557~39.771)及病灶残留(OR=8.050,95% CI=3.062~21.160)是IGBC术后早期复发的独立危险因素(均P<0.05)。病理分化程度(HR=6.160,95% CI=2.877~13.193)、CA19-9水平(HR=2.538,95% CI=1.297~4.965)、手术切除范围(HR=2.111,95% CI=1.154~3.860)、病灶残留(HR=2.571,95% CI=1.547~4.273)是IGBC术后RFS时间的独立危险因素(均P<0.05)。病理分化程度(HR=3.225,95% CI=1.461~7.121)、早期复发(HR=29.558,95% CI=14.250~61.311)、病灶残留(HR=2.416,95% CI=1.361~4.287)是IGBC术后OS时间的独立危险因素(均P<0.05),辅助化疗是术后OS时间的独立保护性因素(HR=0.260,95% CI=0.123~0.551,P<0.05)。按有无病灶残留及是否早期复发分层分析的结果显示,辅助化疗可延长病灶残留患者术后RFS时间及OS时间,亦可延长早期复发患者术后OS时间(均P<0.05)。结论 病灶残留是IGBC二次术后早期复发及预后的独立危险因素,术后辅助化疗可以有效改善病灶残留及早期复发患者的预后。

    Abstract:

    Background and Aims Early postoperative recurrence is a significant risk factor for poor prognosis of gallbladder cancer, and growing evidence suggests that adjuvant chemotherapy can improve the outcomes of patients. However, there have been no reports on early postoperative recurrence after the second surgery and the impact of adjuvant chemotherapy on patients with incidental gallbladder cancer (IGBC). Therefore, this study explored the risk factors for early postoperative recurrence after the second surgery in IGBC patients and analyzed the efficacy of adjuvant chemotherapy in early and non-early recurrence patients to provide clinical decision support.Methods The clinicopathologic data of 170 patients who underwent curative-intent resection for IGBC at the First Affiliated Hospital of Xi'an Jiaotong University from January 2011 to December 2021 were retrospectively collected. The factors influencing early postoperative recurrence (defined as recurrence within 12 months after the second radical surgery), as well as recurrence-free survival (RFS) and overall survival (OS) after surgery of patients, were analyzed.Results Among the 170 patients who underwent curative-intent resection for IGBC, 73 (42.94%) experienced recurrence during the follow-up period, with 41 (24.12%) experiencing early postoperative recurrence. The median OS in patients with early postoperative recurrence was significantly shorter than those without early recurrence (χ2=192.910, P<0.001). The degree of pathological differentiation (OR=20.758, 95% CI=5.557-80.239), CA19-9 level (OR=7.920, 95% CI=1.557-39.771), and residual lesions (OR=8.050, 95% CI=3.06-21.160) were independent risk factors for early postoperative recurrence of IGBC (all P<0.05). The degree of pathological differentiation (HR=6.160, 95% CI=2.877-13.193), CA19-9 level (HR=2.538, 95% CI=1.297-4.965), surgical resection scope (HR=2.111, 95% CI=1.154-3.860), and residual lesions (HR=2.571, 95% CI=1.547-4.273) were independent risk factors for RFS in IGBC patients after surgery (all P<0.05). The degree of pathological differentiation (HR=3.225, 95% CI=1.461-7.121), early recurrence (HR=29.558, 95% CI=14.250-61.311), and residual lesions (HR=2.416, 95% CI=1.361-4.287) were independent risk factors for OS in IGBC patients after surgery (all P<0.05). Adjuvant chemotherapy was an independent protective factor for OS (HR=0.260, 95% CI=0.123-0.551, P<0.05). Stratified analysis based on residual lesions and early recurrence showed that adjuvant chemotherapy prolonged RFS and OS in patients with residual lesions and extended OS in early recurrence patients (all P<0.05).Conclusion Residual lesions are independent risk factors for early postoperative recurrence and prognosis in IGBC patients after the second surgery. Adjuvant chemotherapy after surgery can effectively improve the prognosis of patients with residual lesions and early recurrence.

    表 1 IGBC患者术后早期复发影响因素的单变量分析[n(%)]Table 1 Univariate analysis of influencing factors for early postoperative recurrence in IGBC patients [n (%)]
    表 2 IGBC患者术后早期复发影响因素的多变量分析Table 2 Multivariate analysis of influencing factors for early postoperative recurrence in IGBC patients
    图1 早期复发与非早期复发的IGBC患者术后Kaplan-Meier生存曲线Fig.1 Kaplan-Meier survival curves for IGBC patients with early recurrence and non-early recurrence after surgery
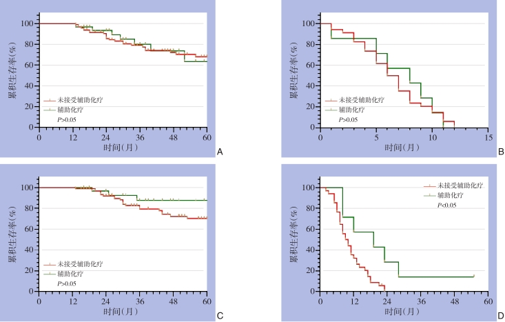
    图2 辅助化疗对有无病灶残留的IGBC患者术后预后的影响 A:无病灶残留患者的RFS曲线;B:无病灶残留患者的OS曲线;C:病灶残留患者的RFS曲线;D:病灶残留患者的OS曲线Fig.2 The influence of adjuvant chemotherapy on postoperative prognosis of IGBC patients with and without residual lesions A: RFS curves for patients without residual lesions; B: OS curves for patients without residual lesions; C: RFS curves for patients with residual lesions; D: OS curves for patients with residual lesions
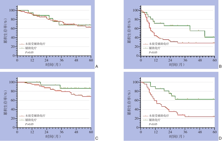
    图3 辅助化疗对是否早期复发的IGBC患者术后预后的影响 A:非早期复发患者的RFS曲线;B:非早期复发患者的OS曲线;C:早期复发患者的RFS曲线;D:早期复发患者的OS曲线Fig.3 The influence of adjuvant chemotherapy on postoperative prognosis of IGBC patients with and without early recurrence A: RFS curves for non-early recurrence patients; B: OS curves for non-early recurrence patients; C: RFS curves for early recurrence patients; D: OS curves for early recurrence patients
    表 3 IGBC预后影响因素的单变量与多变量Cox回归模型分析Table 3 Univariate and multivariate Cox regression model analysis of influencing factors for prognosis in IGBC patients
    参考文献
    相似文献
    引证文献
引用本文

李起,刘恒超,李孟柯,高琦,陈晨,张东,耿智敏.意外胆囊癌二次术后早期复发的危险因素及辅助化疗疗效分析[J].中国普通外科杂志,2023,32(8):1177-1186.
DOI:10.7659/j. issn.1005-6947.2023.08.006

复制
文章指标
  • 点击次数:
  • 下载次数:
历史
  • 收稿日期:2023-05-29
  • 最后修改日期:2023-07-05
  • 录用日期:
  • 在线发布日期: 2023-11-03